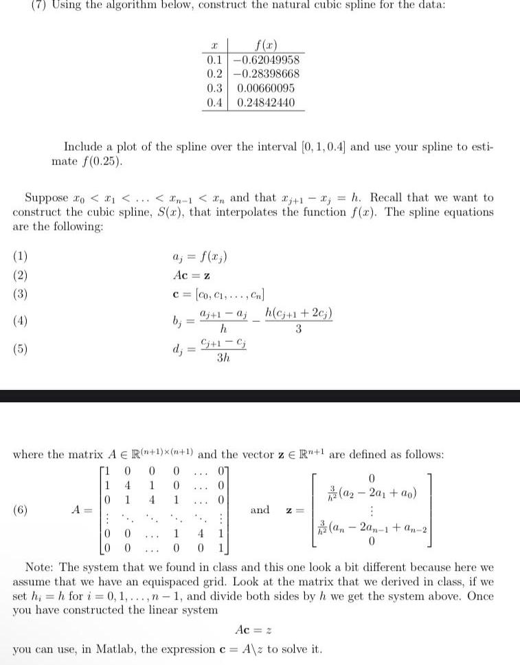
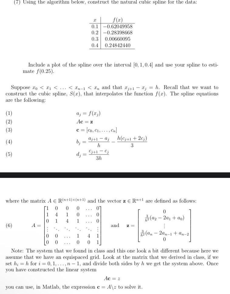
Question: 1 2 3 4 5 7 Using the algorithm below construct the natural cubic spline for the data Suppose to and that 1 h Recall


1 2 3 4 5 7 Using the algorithm below construct the natural cubic spline for the data Suppose to and that 1 h Recall that we want to construct the cubic spline S x that interpolates the function f x The spline equations are the following 6 Include a plot of the spline over the interval 0 1 0 4 and use your spline to esti mate f 0 25 0 0 0 0 aj f x Ac z c co C Cn bj d x f x 0 1 0 62049958 0 2 0 28398668 0 3 0 00660095 0 24842440 0 4 where the matrix A E R n 1 x n 1 and the vector z E R 1 are defined as follows 0 1 4 0 1 0 0 1 0 4 1 aj 1aj h C 1 Cj 3h 1 4 0 0 h cj 1 2c 3 0 0 and 2 0 2a ao Ac z you can use in Matlab the expression c A z to solve it an 2an 1 an 2 0 Note The system that we found in class and this one look a bit different because here we assume that we have an equispaced grid Look at the matrix that we derived in class if we set h h for i 0 1 n 1 and divide both sides by h we get the system above Once you have constructed the linear system
Step by Step Solution
There are 3 Steps involved in it
Get step-by-step solutions from verified subject matter experts
