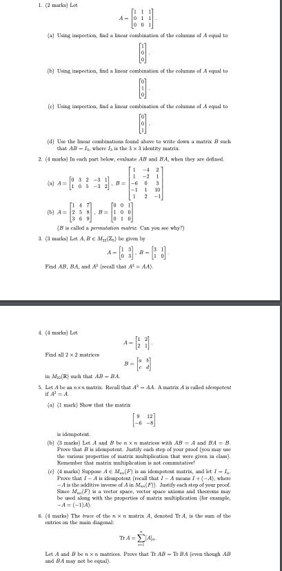
Question: 1. (2 marks) Let A - 1 (a) Using inspection, find a linear combination of the columns of A equal to (b] Using inspection, find

Step by Step Solution
There are 3 Steps involved in it
1 Expert Approved Answer
Step: 1 Unlock
Question Has Been Solved by an Expert!
Get step-by-step solutions from verified subject matter experts
Step: 2 Unlock
Step: 3 Unlock
