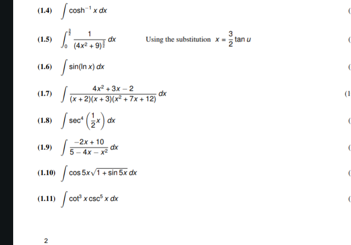
Question: ( 1 . 4 ) c o s h - 1 x d x ( 1 . 5 ) 0 3 2 1 ( 4
Using the substitution
Step by Step Solution
There are 3 Steps involved in it
1 Expert Approved Answer
Step: 1 Unlock
Question Has Been Solved by an Expert!
Get step-by-step solutions from verified subject matter experts
Step: 2 Unlock
Step: 3 Unlock
