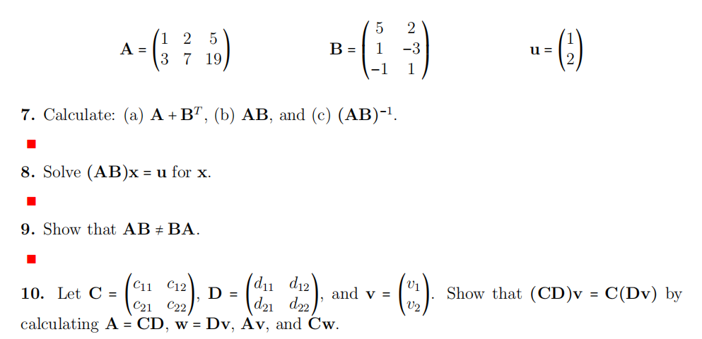
Question: 1 5 A = B = 1 -3 u = 3 19 - 1 7. Calculate: (a) A + BT, (b) AB, and (c) (AB)-1.

Step by Step Solution
There are 3 Steps involved in it
1 Expert Approved Answer
Step: 1 Unlock
Question Has Been Solved by an Expert!
Get step-by-step solutions from verified subject matter experts
Step: 2 Unlock
Step: 3 Unlock
