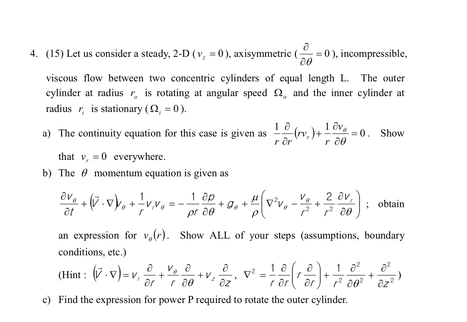
Question: ( 1 5 ) Let us consider a steady, 2 - D ( Please show working, dont use AI )
Let us consider a steady, D Please show working, dont use AI
Step by Step Solution
There are 3 Steps involved in it
1 Expert Approved Answer
Step: 1 Unlock
Question Has Been Solved by an Expert!
Get step-by-step solutions from verified subject matter experts
Step: 2 Unlock
Step: 3 Unlock
