Question: 1 . ( 8 points ) Let ( B ) be an undirected bipartite graph with vertex sets ( V )
points Let B be an undirected bipartite graph with vertex sets V and U and edge set E A bipartite graph is a graph such that the vertex set can be partitioned into two sets such that every edge contains an endpoint from each set.
A matching of a bipartite graph is a subset S of the edge set E such that each vertex is contained in at most one edge of S
You wish to find the number of edges in the matching with the maximum number of edges.
For example, suppose you have n employees and b jobs. You have a bipartite graph with nb vertices. There is an edge connecting employee i and job j if employee i can perform job j You wish to find the maximum number of jobs that can be performed assuming that each job requires exactly one person. You can assume that the graph is given as a list of edges.
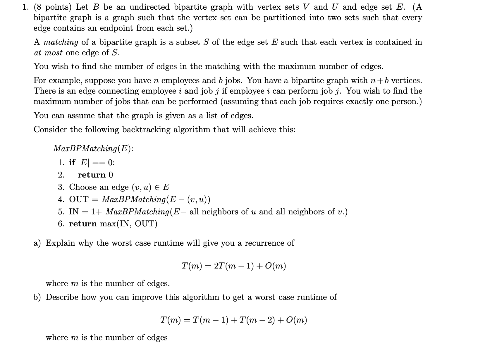
Consider the following backtracking algorithm that will achieve this:
a Explain why the worst case runtime will give you a recurrence of
Tm TmOm
where m is the number of edges.
b Describe how you can improve this algorithm to get a worst case runtime of
TmTmTmOm
where m is the number of edges
Step by Step Solution
There are 3 Steps involved in it
1 Expert Approved Answer
Step: 1 Unlock
Question Has Been Solved by an Expert!
Get step-by-step solutions from verified subject matter experts
Step: 2 Unlock
Step: 3 Unlock
