Question: 1) Add and simplify: IDLEF5 + 9x+6 2 2 Enter the numerator and denominator separately in the boxes below. If the denominator is 1, enter

1)

1) Add and simplify: IDLEF5 + 9x+6 2 2 Enter the1) Add and simplify: IDLEF5 + 9x+6 2 2 Enter the1) Add and simplify: IDLEF5 + 9x+6 2 2 Enter the1) Add and simplify: IDLEF5 + 9x+6 2 2 Enter the1) Add and simplify: IDLEF5 + 9x+6 2 2 Enter the1) Add and simplify: IDLEF5 + 9x+6 2 2 Enter the1) Add and simplify: IDLEF5 + 9x+6 2 2 Enter the1) Add and simplify: IDLEF5 + 9x+6 2 2 Enter the1) Add and simplify: IDLEF5 + 9x+6 2 2 Enter the1) Add and simplify: IDLEF5 + 9x+6 2 2 Enter the1) Add and simplify: IDLEF5 + 9x+6 2 2 Enter the1) Add and simplify: IDLEF5 + 9x+6 2 2 Enter the1) Add and simplify: IDLEF5 + 9x+6 2 2 Enter the1) Add and simplify: IDLEF5 + 9x+6 2 2 Enter the1) Add and simplify: IDLEF5 + 9x+6 2 2 Enter the1) Add and simplify: IDLEF5 + 9x+6 2 2 Enter the1) Add and simplify: IDLEF5 + 9x+6 2 2 Enter the1) Add and simplify: IDLEF5 + 9x+6 2 2 Enter the1) Add and simplify: IDLEF5 + 9x+6 2 2 Enter the1) Add and simplify: IDLEF5 + 9x+6 2 2 Enter the1) Add and simplify: IDLEF5 + 9x+6 2 2 Enter the1) Add and simplify: IDLEF5 + 9x+6 2 2 Enter the
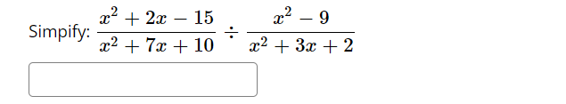
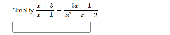
Add and simplify: IDLEF5 + 9x+6 2 2 Enter the numerator and denominator separately in the boxes below. If the denominator is 1, enter the number '|. Do not leave either box blank. Answer: 9 C] Numerator preview: Denominator preview: 3 3 Simplify x2 + 4x - 21 x2 + 10x + 21Simplify the following expression completely. 9:69 45 Enter the numerator and denominator separately in the boxes below. If the denominator is 1, enter the number 'I. Do not leave either box blank. Answer: 9 :1 Numerator preview: Denominator preview: Simplify the following expression completely. 52345 2:2 11:3+18 Enter the numerator and denominator separately in the boxes below. If the denominator is 1, enter the number 'I. Do not leave either box blank. Answer: 9 :1 Numerator preview: Denominator preview: Simplify the following expression completely. 22215a:+56 3232340 Enter the numerator and denominator separately in the boxes below. If the denominator is 1, enter the number 'I. Do not leave either box blank. Answer: 9 C] Numerator preview: Denominator preview: Simplify the following expression completely. 33:214a:+8 3$2+4a74 Enter the numerator and denominator separately in the boxes below. If the denominator is 1, enter the number 'I. Do not leave either box blank. Answer: Numerator preview: Denominator preview: Simplify the following expression completely. a: 28 7 $+8 Enter the numerator and denominator separately in the boxes below. If the denominator is 1, enter the number 'I. Do not leave either box blank. Answer: Nu merator preview: Denominator preview: Multiply and simplify: x2 - 9 x +8 x2 + 5x - 24 5x Enter the numerator and denominator separately in the boxes below. If the denominator is 1, enter the number 1. Do not leave either box blank. Answer: Numerator preview: Denominator preview:Divide and simplify: x2 - 49 2x x2 - 4x - 21 x+3 Enter the numerator and denominator separately in the boxes below. If the denominator is 1, enter the number 1. Do not leave either box blank. Answer: Numerator preview: Denominator preview:Divide and simplify: x2 + 4x - 60 2-2 - 36 x2 + 13x + 30 x2 - 9 Enter the numerator and denominator separately in the boxes below. If the denominator is 1, enter the number 1. Do not leave either box blank. Answer: Numerator preview: Denominator preview:\fAdd and simplify: 3x + 4 6x + 3 7x - 9 + 7x - 9 Enter the numerator and denominator separately in the boxes below. If the denominator is 1, enter the number 1. Do not leave either box blank. Answer: Numerator preview: Denominator preview:\f39 The domain of the function f(a) = 14x - 25 is all real numbers except forGiven the function, find it's domain. 9x + 13 f(2) = x2 + 7x+6 The domain is all real numbers except a = If there is more than one answer, write it as a list, using commas to separate your answers.Subtract and simplify: 7:1: l 10 1:1: + 10 3:1:2 3:]:2 Enter the numerator and denominator separately in the boxes below. If the denominator is 1, enter the number 'I. Do not leave either box blank. Answer: 9 :1 Numerator preview: Denominator preview: Subtract and simplify: x2 - 2x 9 - 2x x2 + 1x - 12 x2 + 1x - 12 Enter the numerator and denominator separately in the boxes below. If the denominator is 1, enter the number 1. Do not leave either box blank. Answer: Numerator preview: Denominator preview:\fAdd andlor subtract and then simplify completely: Enter the numerator and denominator separately in the boxes below. If the denominator is 1, enter the number 'I. Do not leave either box blank. Answer: Numerator preview: Denominator preview: Add and/or subtract and then simplify completely: 7 5 + 0+3 (a+3)2 Enter the numerator and denominator separately in the boxes below. If the denominator is 1, enter the number 'I. Do not leave either box blank. Answer: Nu merator preview: Denominator preview: Add and/or subtract and then simplify completely: 7a - 3 a2 + la - 72 a +9 Enter the numerator and denominator separately in the boxes below. If the denominator is 1, enter the number 1. Do not leave either box blank. Answer: Numerator preview: Denominator preview:x +3 5x - 1 Simplify x2 - x - 2

Step by Step Solution

There are 3 Steps involved in it

1 Expert Approved Answer
Step: 1 Unlock blur-text-image
Question Has Been Solved by an Expert!

Get step-by-step solutions from verified subject matter experts

Step: 2 Unlock
Step: 3 Unlock

Students Have Also Explored These Related Mathematics Questions!