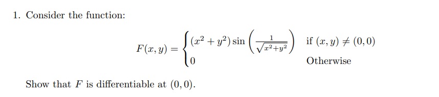
Question: 1. Consider the function: '0 Otherwise thy) = {(332 + y2)sin( 121+?) if (3:,y) 5:5 (01 0) Show that F is differentiable at (0,0)


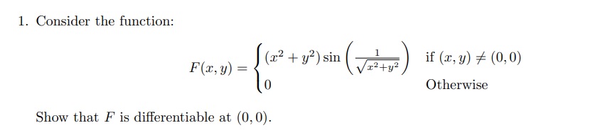
1. Consider the function: '0 Otherwise thy) = {(332 + y2)sin( 121+?) if (3:,y) 5:5 (01 0) Show that F is differentiable at (0,0)
Step by Step Solution
There are 3 Steps involved in it
Get step-by-step solutions from verified subject matter experts
