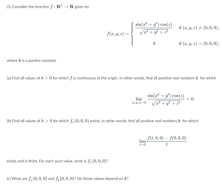
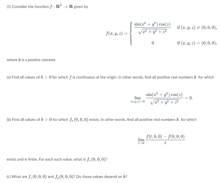
Question: (1) Consider the function f : R -> R given by sin(a* + y*) cos(z) if (x, y, z) # (0, 0, 0), f(x, y,


(1) Consider the function f : R" -> R given by sin(a* + y*) cos(z) if (x, y, z) # (0, 0, 0), f(x, y, 2) = Va? +yz+ 2 2 0 if (x, y, z) = (0, 0, 0), where k is a positive constant. (a) Find all values of k > 0 for which f is continuous at the origin. In other words, find all positive real numbers k for which lim sin(a* + y) cos(z) = 0. (x, y,2)-0 Va2 + y2 + 22 (b) Find all values of k > 0 for which fx (0, 0, 0) exists. In other words, find all positive real numbers k for which lim f(t, 0, 0) - f(0, 0, 0) 1-+0 t exists and is finite. For each such value, what is fx (0, 0, 0)? (c) What are f= (0, 0, 0) and fy (0, 0, 0)? Do those values depend on k
Step by Step Solution
There are 3 Steps involved in it
Get step-by-step solutions from verified subject matter experts
