Question: (1) Consider the function f : R -> R given by sin(a* + y*) cos(z) if (x, y, z) # (0, 0, 0), f(x, y,

 (1) Consider the function f : R" -> R given bysin(a* + y*) cos(z) if (x, y, z) # (0, 0, 0),

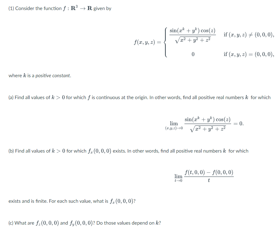
(1) Consider the function f : R" -> R given by sin(a* + y*) cos(z) if (x, y, z) # (0, 0, 0), f(x, y, 2) = Va? +yz+ 2 2 0 if (x, y, z) = (0, 0, 0), where k is a positive constant. (a) Find all values of k > 0 for which f is continuous at the origin. In other words, find all positive real numbers k for which lim sin(a* + y) cos(z) = 0. (x, y,2)-0 Va2 + y2 + 22 (b) Find all values of k > 0 for which fx (0, 0, 0) exists. In other words, find all positive real numbers k for which lim f(t, 0, 0) - f(0, 0, 0) 1-+0 t exists and is finite. For each such value, what is fx (0, 0, 0)? (c) What are f= (0, 0, 0) and fy (0, 0, 0)? Do those values depend on k?(2) Consider the function f : R* -> R* given by f(x, y, z, w) = (1 + x + sin(z - 2y), ey ", 2z + tan(w + x?)). (a) Find the quadratic approximation of f at the point P = (0, 0, 0, 0). Use this approximation to estimate the value f(0.1, -0.1, -0.1, 0.1). (b) Now consider the function g : R -> R given by g(x, y, z) = (sin(x - y), ycos(x2 - 22 - 1)). We can compose the maps f and g to obtain a smooth function go f : R* -> R.'. Use the chain rule to compute Dp(go f), where P = (0, 0, 0, 0)

Step by Step Solution

There are 3 Steps involved in it

1 Expert Approved Answer
Step: 1 Unlock blur-text-image
Question Has Been Solved by an Expert!

Get step-by-step solutions from verified subject matter experts

Step: 2 Unlock
Step: 3 Unlock

Students Have Also Explored These Related Mathematics Questions!