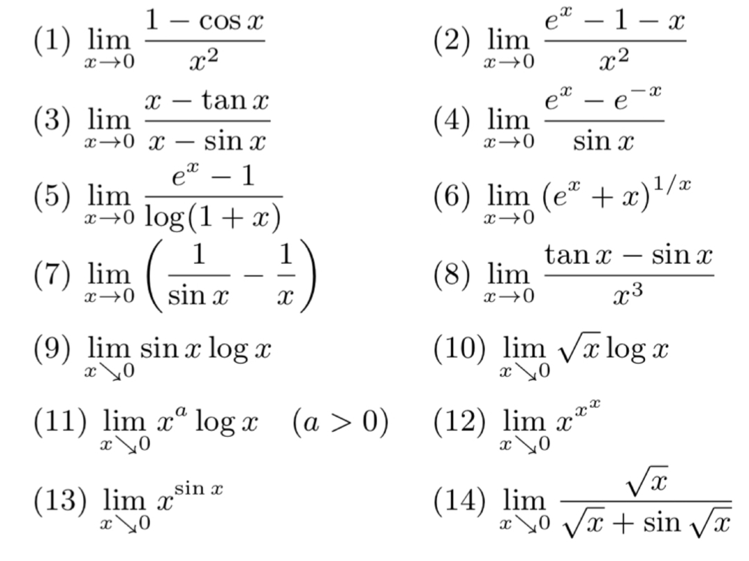
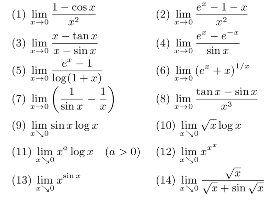
Question: 1 - cos x (1) lim -1 - x (2) lim x-+0 x-0 (3) lim x - tan x - ex x-+0 x - sin


1 - cos x (1) lim -1 - x (2) lim x-+0 x-0 (3) lim x - tan x - ex x-+0 x - sin x (4) lim x-+0 sin x ex - 1 (5) lim x-0 log(1 +x) (6) lim (ex + x) 1/2 x-+0 1 (7) lim (8) lim tan x - sin x x-+0 sin x x->0 (9) lim sin x log x x yo (10) lim va log x (11) lim x loga (a > 0) (12) lima (13) lim sin x (14) lim Vx vax + sin Vx
Step by Step Solution
There are 3 Steps involved in it
Get step-by-step solutions from verified subject matter experts
