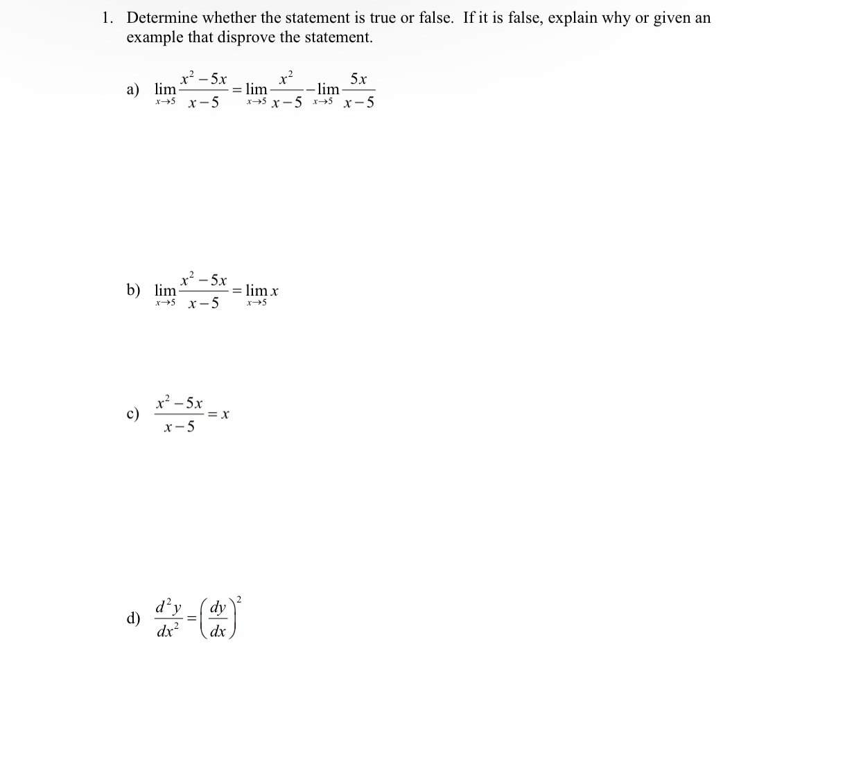
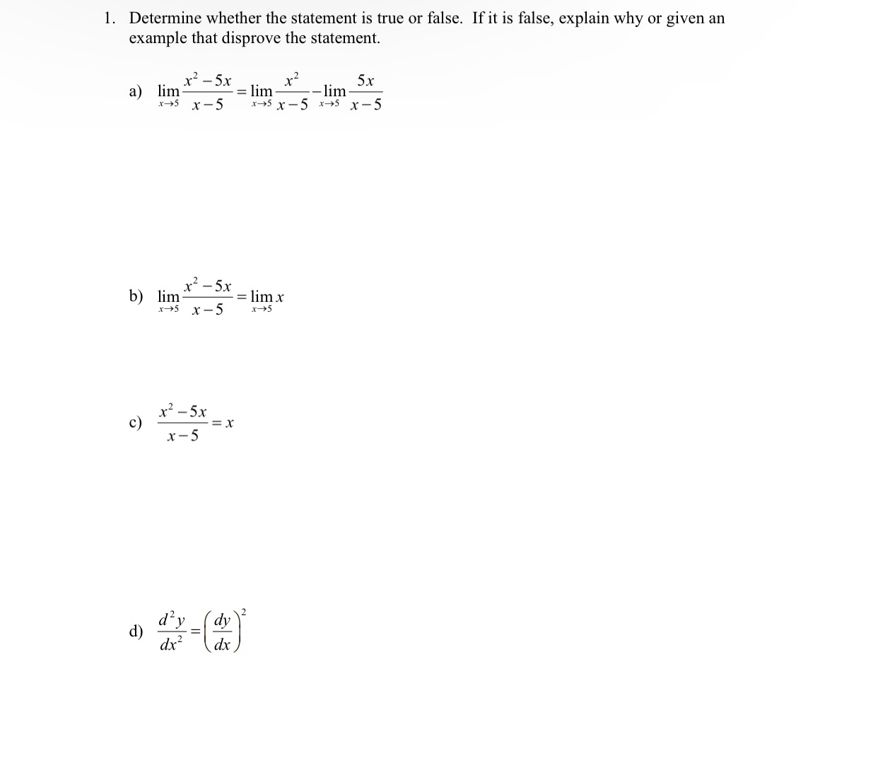
Question: 1. Determine whether the statement is true or false. If it is false, explain why or given an example that disprove the statement. a) lim


1. Determine whether the statement is true or false. If it is false, explain why or given an example that disprove the statement. a) lim x- - 5x = lim - - lim- 5x x -5 x-$5 x -5 x-5 x-5 b) lim- x - 5x_ = lim x x->5 x-5 x - 5x c) = x x - 5 d) d'y. dy dx 2 dx
Step by Step Solution
There are 3 Steps involved in it
Get step-by-step solutions from verified subject matter experts
