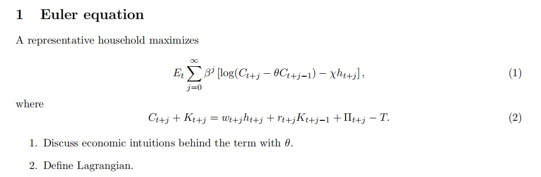
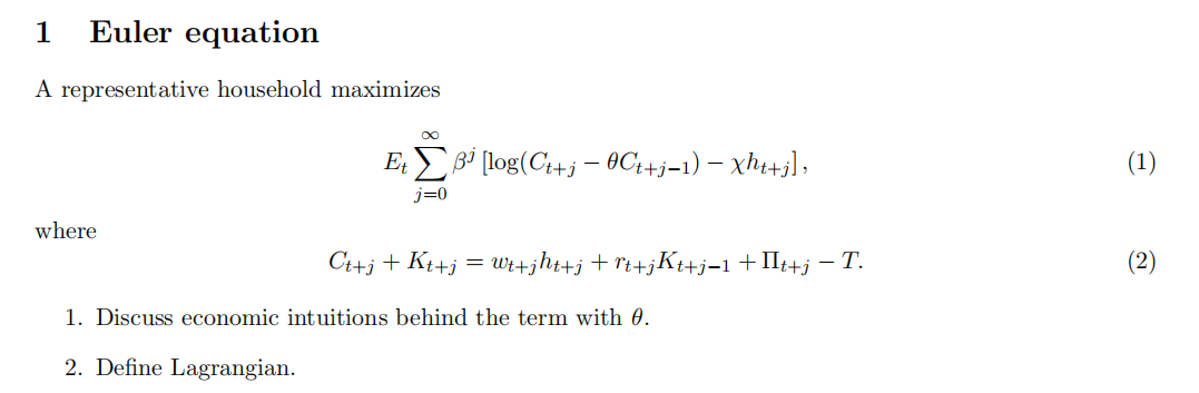
Question: 1 Euler equation A representative household maximizes Et > B' [log ( Ct+j - 0Ct+j-1) - xhttil, (1) j=0 where Ct+j + Kitj = witjhtti


1 Euler equation A representative household maximizes Et > B' [log ( Ct+j - 0Ct+j-1) - xhttil, (1) j=0 where Ct+j + Kitj = witjhtti + rt+jkt+j-1 + lIt+j - T. (2) 1. Discuss economic intuitions behind the term with 0. 2. Define Lagrangian
Step by Step Solution
There are 3 Steps involved in it
Get step-by-step solutions from verified subject matter experts
