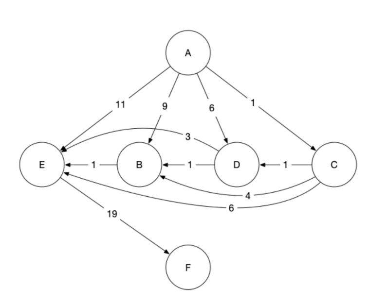
Question: 1 . Find a path from the start ( A ) to the goal ( F ) using the Depth First Search version of the
Find a path from the start A to the goal F using the Depth First Search version of the Generic Search Algorithm discussed in class, making sure to
a Show the status of the open and closed data structures for each iteration.
b Show the final search tree after the goal state is reached.
c Show the final result path
Do abc for a Uniform Cost Search version.
Do abc for A version using this heuristic:
State hState
A
B
C
D
E
F
Is this heuristic admissible? Explain why or why not?
Step by Step Solution
There are 3 Steps involved in it
1 Expert Approved Answer
Step: 1 Unlock
Question Has Been Solved by an Expert!
Get step-by-step solutions from verified subject matter experts
Step: 2 Unlock
Step: 3 Unlock
