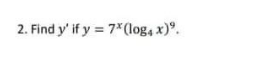
Question: 1. Find dy --when y = In dx Express your answer in a single fraction.2. Find y' if y = 7(log, x).






1. Find dy --when y = In dx Express your answer in a single fraction.2. Find y' if y = 7"(log, x)".
Step by Step Solution
There are 3 Steps involved in it
Get step-by-step solutions from verified subject matter experts
