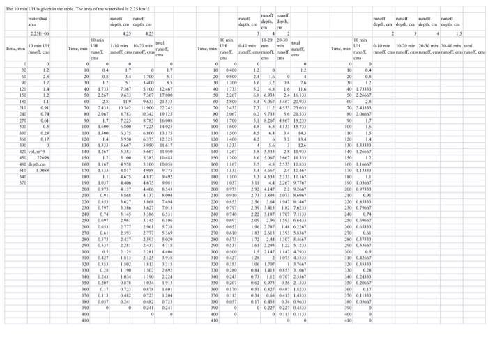
Question: 1. finish column S T U V W 2. Based on column A and B, determine 20-min UH. Finish this part on the same excel
1. finish column S T U V W
2. Based on column A and B, determine 20-min UH. Finish this part on the same excel sheet. Make your own columns.
The 10 ml pive in the table. The area of the watershed is 225 km2 washed are depth cm de 2.25166 435 10 min 10 UH 1-10 min Tim. min Time moll, mal depth.com depth depth cm em 4 2 10 min 102 21:30 Timin me , , an ped, cm deth depth. cm de 2 3 . 15 otal re 10 min UH HT Time - H -10 min 10. 20.30 m 30-40 Batal monel.co.com.cn WE . 0 O 0 0 . og 00 00 0 10 20 30 40 17 14 51 767 0 10 20 10 04 OR 1 1711 3261 15 o 0 6.400 0.00 1.200 1.733 2.367 97 TE TI 1.20 150 05 463 2927 05 05 0 ONI TE 110 SIE BORE 2433 0 70 NO CHOI 210 40 270 100 2433 0 170 3.400 RS 5100 12.467 7.367 17.000 MA) 21:53 11.00 22 24 10342 10125 16.00 722514025 115 6.375 12.125 11611 70 NO 32 33 0 . 10 0.4 20 0.8 10 10173331 SO 2.1 70 243333 NO 17 1 110 1.5 130 14 130 133333 140 160 150 06 7.335 06 M 1300 IM 100 011 1.1 1600 1.500 14 1330 1367 LOS 100 110 120 09 090 We 120 DET 0565 LOS OE! OP! well 40 val. 250 - 11 SE 140 150 12 0 12 14 14 4 0 76 4 16 11.6 6911 24 1410 KAT 346 300 7.3 1134532013 9.733 36210 51.261 4.867 1 230 4 634119 17 45 14 143 43 6 184 4 56 3 12.6 1.311 3.6 SOT 2.567 1033 21 11 24 1462 11 4531 2111 116 44 2267 9.7363 22 4147 2016 ) 256 164 1407 2.80 140 127021 2.22 172,701 71113 21.39 1.27 1. 6 2207 1260 1.393 31367 1.3 2.44 307 S TES 0015 TI 1.400 133 1.367 1.30 HIN 1.11 1100 I TI LWNLOVI 091 1.167 015 49 ARIT 4673 SE Y TE TIT 11 40 370 150 100 10 IM 190 200 210 I 10 INS I 170113331 10 11 190 10367 20097333 210 L! HO 16 LEIT 10 Eet TOE TE OCE 3 197 094 533 16:43 110) TO 4. 9.775 4.12 9.492 4.679 440 54 41 2004 1494 T01 6331 10 5.74 2.1 2.30 SON 2411 418 44 1918 0797 76 190 NO 190 300 210 330 230 240 230 360 270 20 2 100 310 0 0.94 100 CESNO OCE LOWO O OPE WOOZ LO 210 300 250 200 210 WE SPEE 17 0653 Love ye 190 0410 IVO 1145 21 2.777 2393 2411 2311 2121 LIB 1. 19 ONE FO 5 31 THT 191 REIS 21 ET 1 290 100 310 20 INET RE CI CO! 041 065333 270 330 331 21 166 05 310 0407 20.1133 130 0. 20133 15 2.14 1.16 21.0743933 10. 031413 15 16 ON LONGU VED 80 O SICE CUE O DEE OPE OC 2324 10 30 ICO CO LOSS OBTID 0.30 11 13 ORTE 033 1190 2014 TH 23 EIT 10V LOCO OG LIB IN BLC CHO FIR 390 011333 0341 NO ICO 1204 13 0.341 0.00 0.02.1930 0:31 07:41 1333 0.30 0413 14350 61 0453 0001 0 0.3 0.32 433 0 1 1 0 O ONE ME 30 O 0 0 0 e 300 400 410 0 INT ! 4 410 410 . The 10 ml pive in the table. The area of the watershed is 225 km2 washed are depth cm de 2.25166 435 10 min 10 UH 1-10 min Tim. min Time moll, mal depth.com depth depth cm em 4 2 10 min 102 21:30 Timin me , , an ped, cm deth depth. cm de 2 3 . 15 otal re 10 min UH HT Time - H -10 min 10. 20.30 m 30-40 Batal monel.co.com.cn WE . 0 O 0 0 . og 00 00 0 10 20 30 40 17 14 51 767 0 10 20 10 04 OR 1 1711 3261 15 o 0 6.400 0.00 1.200 1.733 2.367 97 TE TI 1.20 150 05 463 2927 05 05 0 ONI TE 110 SIE BORE 2433 0 70 NO CHOI 210 40 270 100 2433 0 170 3.400 RS 5100 12.467 7.367 17.000 MA) 21:53 11.00 22 24 10342 10125 16.00 722514025 115 6.375 12.125 11611 70 NO 32 33 0 . 10 0.4 20 0.8 10 10173331 SO 2.1 70 243333 NO 17 1 110 1.5 130 14 130 133333 140 160 150 06 7.335 06 M 1300 IM 100 011 1.1 1600 1.500 14 1330 1367 LOS 100 110 120 09 090 We 120 DET 0565 LOS OE! OP! well 40 val. 250 - 11 SE 140 150 12 0 12 14 14 4 0 76 4 16 11.6 6911 24 1410 KAT 346 300 7.3 1134532013 9.733 36210 51.261 4.867 1 230 4 634119 17 45 14 143 43 6 184 4 56 3 12.6 1.311 3.6 SOT 2.567 1033 21 11 24 1462 11 4531 2111 116 44 2267 9.7363 22 4147 2016 ) 256 164 1407 2.80 140 127021 2.22 172,701 71113 21.39 1.27 1. 6 2207 1260 1.393 31367 1.3 2.44 307 S TES 0015 TI 1.400 133 1.367 1.30 HIN 1.11 1100 I TI LWNLOVI 091 1.167 015 49 ARIT 4673 SE Y TE TIT 11 40 370 150 100 10 IM 190 200 210 I 10 INS I 170113331 10 11 190 10367 20097333 210 L! HO 16 LEIT 10 Eet TOE TE OCE 3 197 094 533 16:43 110) TO 4. 9.775 4.12 9.492 4.679 440 54 41 2004 1494 T01 6331 10 5.74 2.1 2.30 SON 2411 418 44 1918 0797 76 190 NO 190 300 210 330 230 240 230 360 270 20 2 100 310 0 0.94 100 CESNO OCE LOWO O OPE WOOZ LO 210 300 250 200 210 WE SPEE 17 0653 Love ye 190 0410 IVO 1145 21 2.777 2393 2411 2311 2121 LIB 1. 19 ONE FO 5 31 THT 191 REIS 21 ET 1 290 100 310 20 INET RE CI CO! 041 065333 270 330 331 21 166 05 310 0407 20.1133 130 0. 20133 15 2.14 1.16 21.0743933 10. 031413 15 16 ON LONGU VED 80 O SICE CUE O DEE OPE OC 2324 10 30 ICO CO LOSS OBTID 0.30 11 13 ORTE 033 1190 2014 TH 23 EIT 10V LOCO OG LIB IN BLC CHO FIR 390 011333 0341 NO ICO 1204 13 0.341 0.00 0.02.1930 0:31 07:41 1333 0.30 0413 14350 61 0453 0001 0 0.3 0.32 433 0 1 1 0 O ONE ME 30 O 0 0 0 e 300 400 410 0 INT ! 4 410 410
Step by Step Solution
There are 3 Steps involved in it
Get step-by-step solutions from verified subject matter experts
