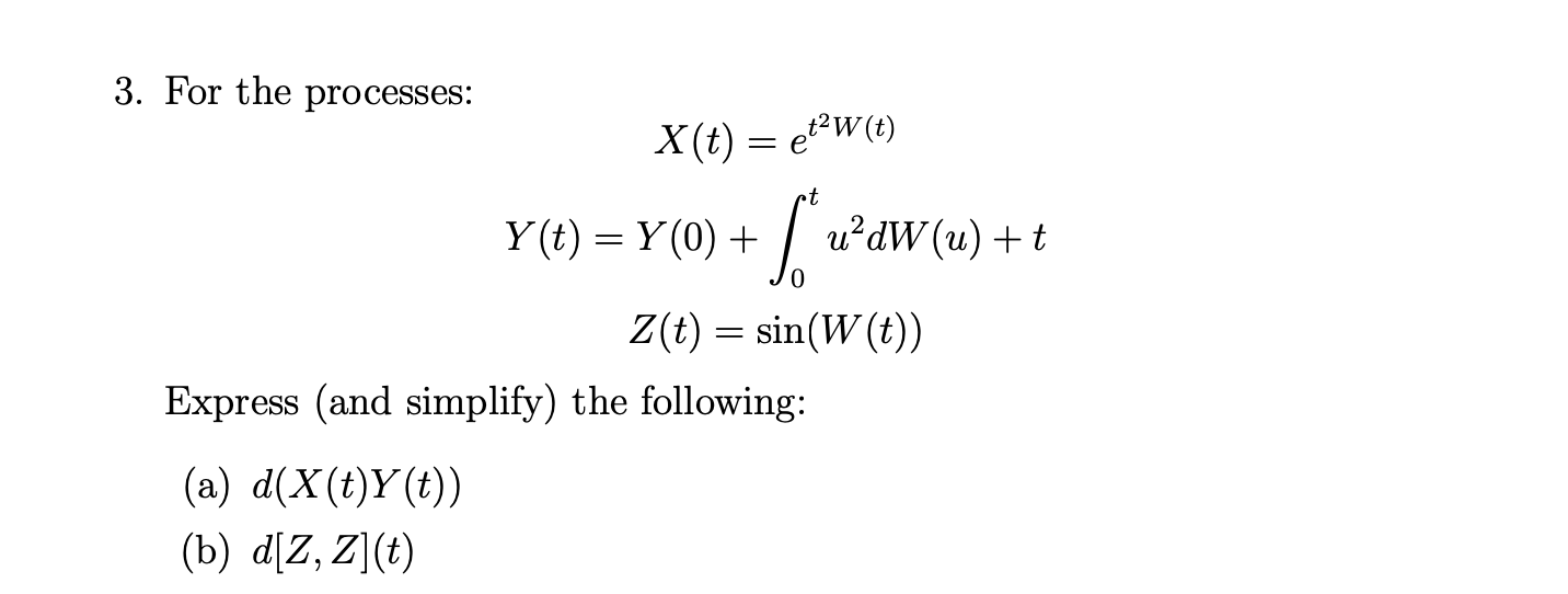
Question: 1. For a process = log ( 7 ) + [ wa (u ) Z ( u ) du + / Vcos ( u )aw



1. For a process = log ( 7 ) + [ wa (u ) Z ( u ) du + / Vcos ( u )aw ( u ) Find: Ele So w3(u)du z ( t) ] hint: you might want to look at the Ito decomposition of the expression in the expectation. 2. For a stock that follows Geometric Brownian Motion, S(t), determine the value of the expression: ELS' (t) - 2S(t) t2 + + 4 ]3. For the processes: X (t) = etz W(t) Y (t) = Y(0) + / udw(u) + t Z(t) = sin(W(t)) Express (and simplify) the following: (a) d( X (t ) Y (t) ) (b) d[z, Z](t)
Step by Step Solution
There are 3 Steps involved in it
Get step-by-step solutions from verified subject matter experts
