Question: 1. For the next project, formulate the linear programming problem if you want to minimize the total cost of the project if the indirect cost
1. For the next project, formulate the linear programming problem if you want to minimize the total cost of the project if the indirect cost is $ 300 / day. Net:
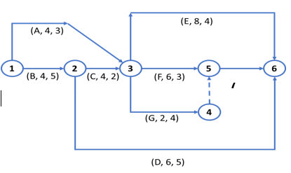
Now, Given the following network: Legend (A, T, R) A = Activity T = time R = Resources needed
a) Do a critical step analysis:

b. Build a left-justified itinerary and determine loads. c. Build a right-justified itinerary and determine loads.
F G 1 2 2 5 6 7 D 3 B H 4 (E, 8, 4) (A, 4, 3) 1 2 3 5 6 (B, 4,5) (C, 4, 2) (F, 6, 3) 4 (G, 2, 4) (D, 6,5) ES EF LS LF F G 1 2 2 5 6 7 D 3 B H 4 (E, 8, 4) (A, 4, 3) 1 2 3 5 6 (B, 4,5) (C, 4, 2) (F, 6, 3) 4 (G, 2, 4) (D, 6,5) ES EF LS LFStep by Step Solution
There are 3 Steps involved in it
Get step-by-step solutions from verified subject matter experts
