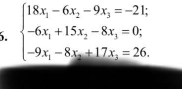
Question: 1) Implement a C++ program to solve the system using LU Factorisation 2) Implement a C++ program to solve the system using QR Factorisation 18x16x29x3=216x1+15x28x3=09x18x2+17x3=26
1) Implement a C++ program to solve the system using LU Factorisation
2) Implement a C++ program to solve the system using QR Factorisation

18x16x29x3=216x1+15x28x3=09x18x2+17x3=26
Step by Step Solution
There are 3 Steps involved in it
Get step-by-step solutions from verified subject matter experts
