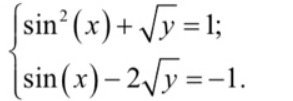
Question: 1) Implement a C++ program to solve the system using Newtons method, with an error less than 1% 2) Implement a C++ program to solve
1) Implement a C++ program to solve the system using Newtons method, with an error less than 1%
2) Implement a C++ program to solve the system using Broydens method, with an error less than 1%

{sin2(x)+y=1sin(x)2y=1
Step by Step Solution
There are 3 Steps involved in it
Get step-by-step solutions from verified subject matter experts
