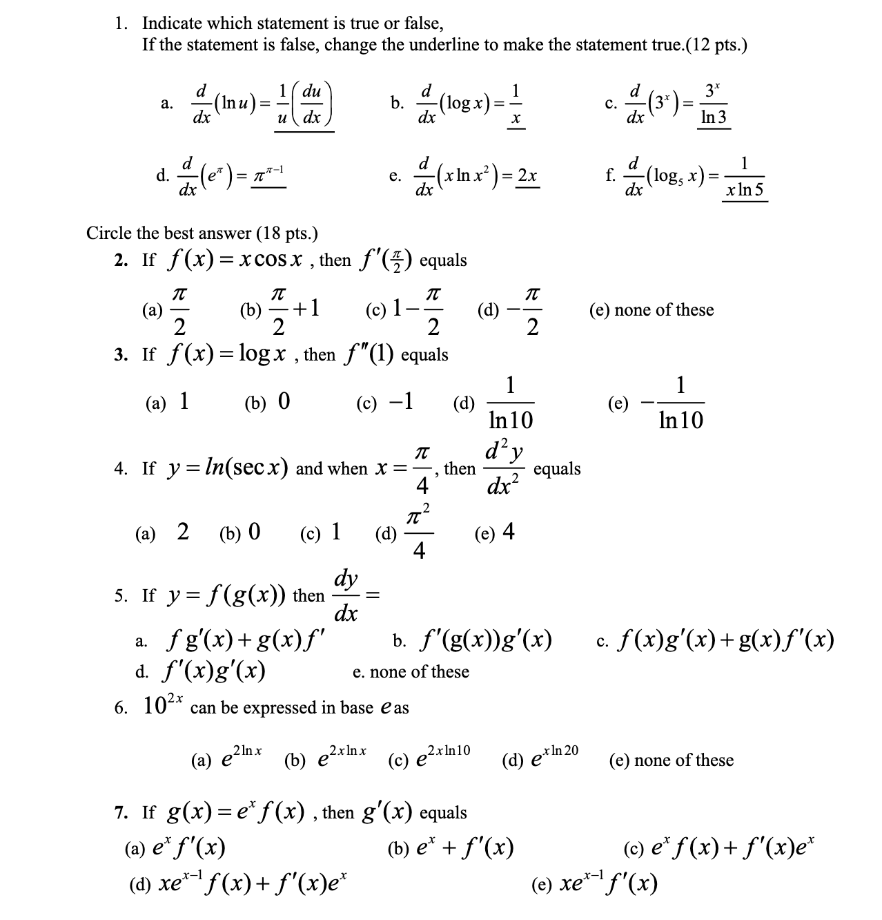
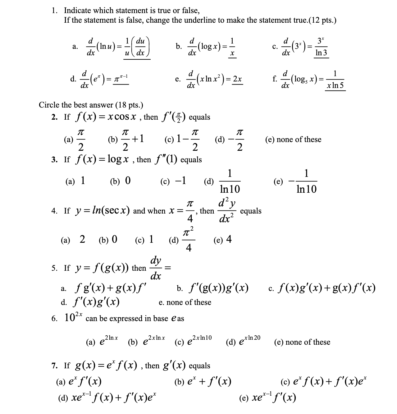
Question: 1. Indicate which statement is true or false, If the statement is false, change the underline to make the statement true.(12 pts.) a. (Inu) =


1. Indicate which statement is true or false, If the statement is false, change the underline to make the statement true.(12 pts.) a. (Inu) = _ du dx (3* ) u dx b. dx " (log x) =- c . dx In 3 d. dx ( er ) = 1"- . (xInx ) = 2x a ( log, x) = - dx x In 5 Circle the best answer (18 pts.) 2. If f (x) = xcosx , then f'(*) equals (a) (c ) 1 - (d) (e) none of these 2 (b ) -+1 2 N 3. If f(x) = log x , then f"(1) equals (a) 1 (b ) 0 (c) -1 (d) (e) In 10 In 10 4. If y = In(sec x) and when x = d'y -, then dx 2 equals 4 (a) 2 (b) 0 (c) 1 (d) (e) 4 4 5. If y = f(g(x)) then dy = dx a. f g'(x) + g(x)f' b. f'(g(x))g'(x) c. f (x)g' (x ) + g (x) f'(x) d. f'(x)g'(x) e. none of these 6. 10" can be expressed in base e as (a) e2inx (b) ezxinx (c) e2 xIn10 (d) erIn 20 (e) none of these 7. If g(x) = elf(x) , then g'(x) equals (a) ex f'(x) ( b) e + f' (x ) (c) ef (x) + f'(x)ex (d) xet f(x ) + f'(x )ex (e) xet-if'(x)
Step by Step Solution
There are 3 Steps involved in it
Get step-by-step solutions from verified subject matter experts
