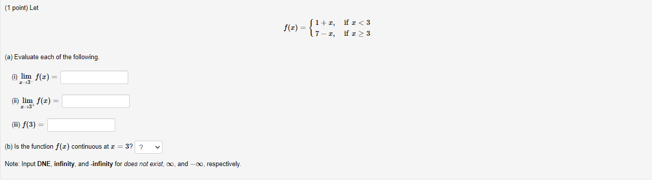
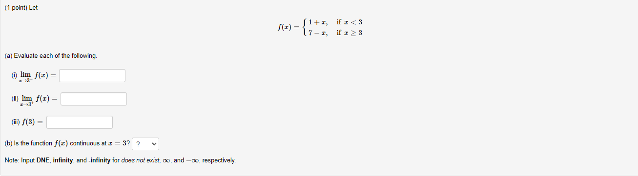
Question: (1 point) Let 1+x, ifa (1 point) Let (a) Evaluate each of the following (i) lim f(x) (ii) lim f(x) (iii) f(3) (b) Is the


(1 point) Let 1+x, ifa
(1 point) Let (a) Evaluate each of the following (i) lim f(x) (ii) lim f(x) (iii) f(3) (b) Is the function f(x) continuous at x = 3?? v Note: Input DNE, infinity, and -infinity for does not exist, and m, respectively. if a: < 3 if a: > 3
Step by Step Solution
There are 3 Steps involved in it
Get step-by-step solutions from verified subject matter experts
