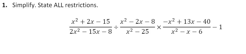
Question: 1. Simplify. State ALL restrictions. x2 + 2x - 15 x2 - 2x - 8 -x2 + 13x - 40 X - 1 2x2 -

1. Simplify. State ALL restrictions. x2 + 2x - 15 x2 - 2x - 8 -x2 + 13x - 40 X - 1 2x2 - 15x - 8 x2 - 25 x2 - x - 6
Step by Step Solution
There are 3 Steps involved in it
Get step-by-step solutions from verified subject matter experts
