Question: (1) V = P3, U = (p(x) E V; p(0) > 0}. (2) V = R' , V = {(x, y z, t) E V

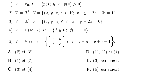
(1) V = P3, U = (p(x) E V; p(0) > 0}. (2) V = R' , V = {(x, y z, t) E V ; x - y + 2: + 31 = 1). (3) V = R', U = {(x, y, = ) EV ; x - y + 2: = 0). (4) V = F (R, R), U = {f EV; f(1) = 0}. (5) V = M22, U = EV; atd=b+c+1}. C d A. (2) et (5) D. (1), (2) et (4) B. (1) et (5) E. (3) seulement C. (3) et (4) F. (5) seulement
Step by Step Solution
There are 3 Steps involved in it
Get step-by-step solutions from verified subject matter experts
