Question: 1. Verify Eqs. 1 through 5. 2. Select appropriate units for t, x, m, b, and k. (use SI units.) 3. Determine the units







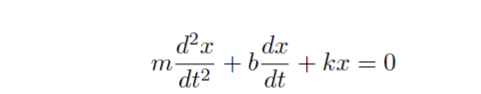
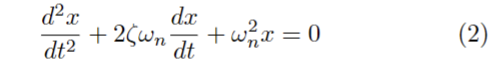
1. Verify Eqs. 1 through 5. 2. Select appropriate units for t, x, m, b, and k. (use SI units.) 3. Determine the units for wn and C. Our goal in this experiment is to determine the parame- ters of a second order mechanical system from measure- ments of the system free response. Figure 1 shows a lumped parameter model of the system. x(t) eee K M B Figure 1: mass-spring-damper dx dx m- +b. +kx = 0 dt2 dt dx dx +25wn +wx = 0 (2) dt2 dt x(t) = = 20 1-2 e -Sunt sin (wat + 4) (3) 1-$2 = tan and_wd=wn1 5 (4) Ta = 2T - Wd = 2T Wn1-52 (5) 8 = ln = SwnTa = x2 2 1-52 (6)
Step by Step Solution
There are 3 Steps involved in it
Get step-by-step solutions from verified subject matter experts
