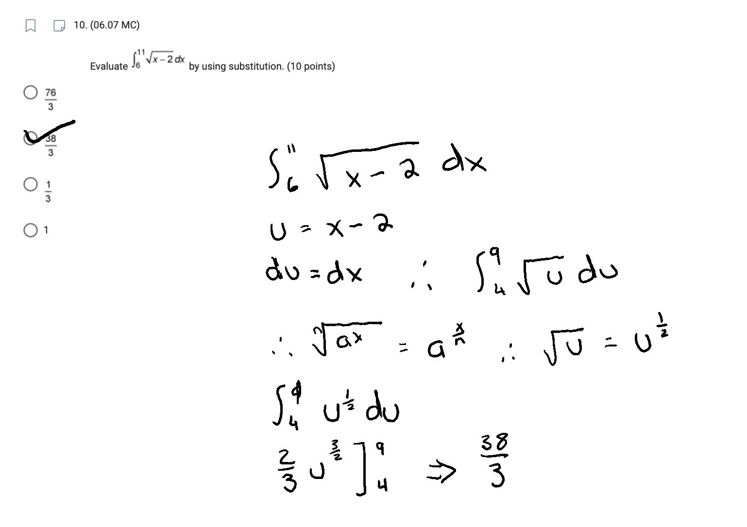
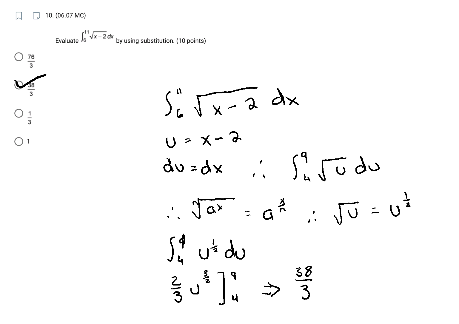
Question: 10. (06.07 MC) Evaluate e Je Vx-2dx by using substitution. (10 points) O 76 3 O w/ - X - a dx O 1 U


10. (06.07 MC) Evaluate e Je Vx-2dx by using substitution. (10 points) O 76 3 O w/ - X - a dx O 1 U z X - 2 du = dx ax = G Su u* du 38 WIN
Step by Step Solution
There are 3 Steps involved in it
Get step-by-step solutions from verified subject matter experts
