Question: 10. fDifferentiate two ways: first, by using the Product Rule; then, by multiplying the expressions before differentiating. Compare your results as a check. Use a
10.





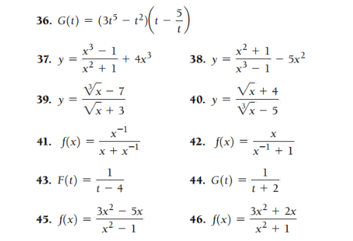
\fDifferentiate two ways: first, by using the Product Rule; then, by multiplying the expressions before differentiating. Compare your results as a check. Use a graphing calculator to check your results.36. G(t) = (3+5 - 12) t - x - 1 + 4x3 *+1 37. y = 38. y = - 5x2 3 - 1 Vx - 7 Vx + 4 39. y = 40. y = Vx + 3 Vx - 5 X 41. f(x) = x +x -1 42. f(x) = x -1+1 1 43. F(t) = 44. G(t) = t - 4 1+ 2 3x2 - 5x 3x2+ 2x 45. f(x) = 46. f(x) = x- - 1 x- +1\f62. Population growth. The population P, in thousands~ of the town of Coyote Wells is given by son: 21'- + 9' where I is the time? in years. P{t] = P w Po} . mo: 55 like 40 3|] 2::- ll] EiBIUIEI it} Find the growth rate. It} Find the population after 12 yr. c) Find the growth rate at t = 12 yr
Step by Step Solution
There are 3 Steps involved in it
Get step-by-step solutions from verified subject matter experts
