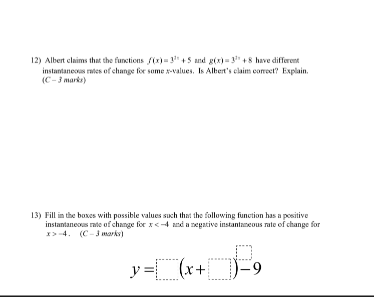
Question: 12) Albert claims that the functions f(x) = 32 +5 and g(x) = 3 +8 have different instantaneous rates of change for some x-values. Is



12) Albert claims that the functions f(x) = 32 +5 and g(x) = 3" +8 have different instantaneous rates of change for some x-values. Is Albert's claim correct? Explain. (C - 3 marks) 13) Fill in the boxes with possible values such that the following function has a positive instantaneous rate of change for x -4. (C-3 marks) y10) Determine the equation of the tangent to the graph of y= -5x + 2x-6 at the point where x = 10. (1 -6 marks) 11) A maple cookie is dropped from a height of 19.6 m. Its height above the ground, in metres, seconds after it is dropped is given by the equation h(() =19.6-4.9. Determine how fast the cookie is falling when it hits the ground. Round your final answer to the nearest tenth. (I -6 marks)7) Determine the average rate of change of the function f(x) = -6Vx+5 -8x on the interval -25x $5. Round your final answer to the nearest tenth. (K - 2 marks) 8) For the function f(x) = x* + 2x' -23x -24x +136, use secant slopes to verify that a local maximum or minimum occurs at the point where x = 3. State whether it is a maximum or a minimum that occurs at this point. (A - 5 marks)
Step by Step Solution
There are 3 Steps involved in it
Get step-by-step solutions from verified subject matter experts
