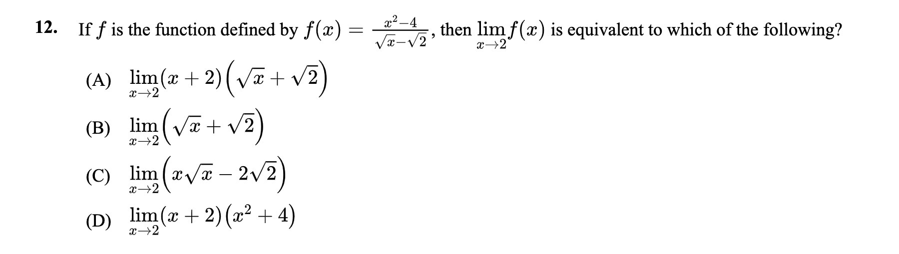
Question: 12. If f is the function defined by f(a) = 2 2 -4 x_V5, then lim f (x ) is equivalent to which of the

Step by Step Solution
There are 3 Steps involved in it
1 Expert Approved Answer
Step: 1 Unlock
Question Has Been Solved by an Expert!
Get step-by-step solutions from verified subject matter experts
Step: 2 Unlock
Step: 3 Unlock
