Question: 12:25 39 X CAL 2 FINAL EX... V MA 8 4 of 5 FINAL EXAM 19. Which of the following is true about the sequence







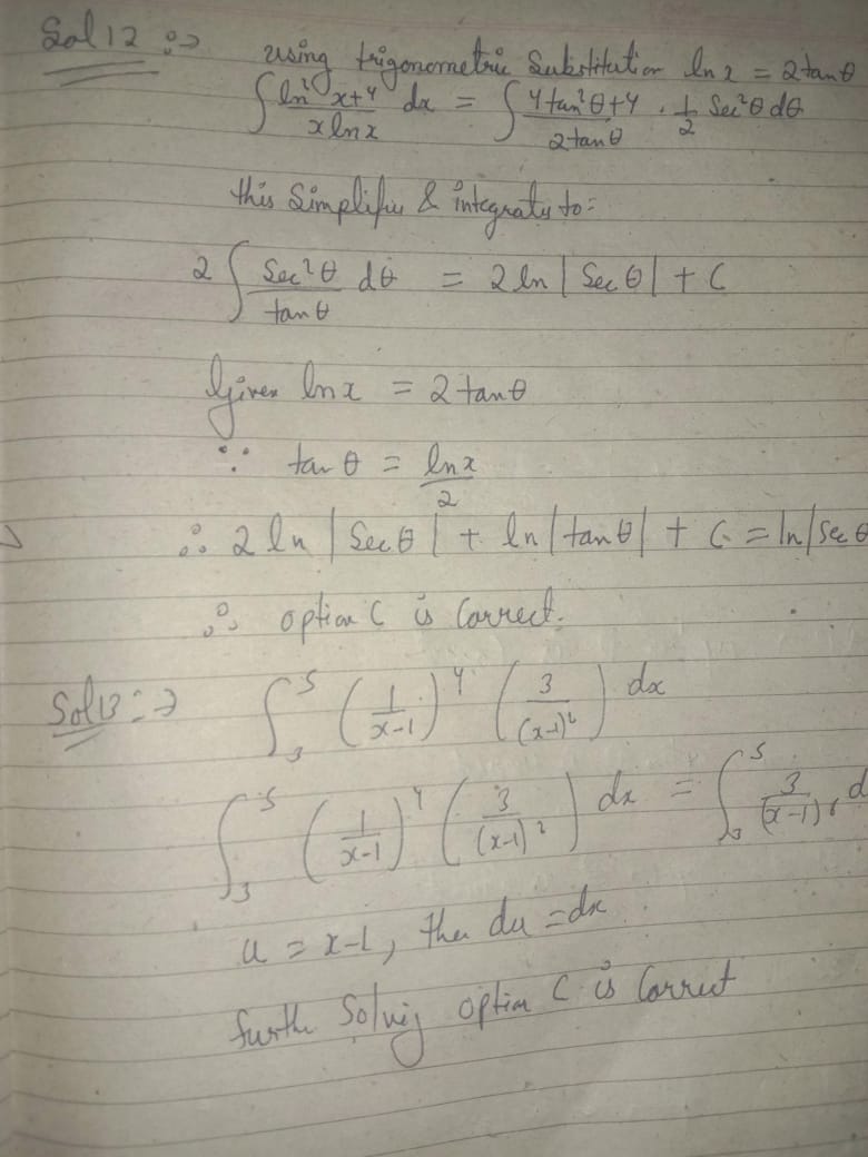
12:25 39 X CAL 2 FINAL EX... V MA 8 4 of 5 FINAL EXAM 19. Which of the following is true about the sequence {n - 8)? (A) The given sequence is convergent and the limit is 8. (B) The given sequence is convergent and the limit is 0. (C) The given sequence is convergent and the limit is -8. (D) The given sequence is divergent. 20. Which of the following is true about the sequence { -}(1 -2")} ? (A) It converges to -1. (C) It converges to -2. (B) It converges to 0. (D) It is divergent. 21. Determine if n' + + 3 2n2+ 1 is convergent or divergent. nal (A) divergent (B) convergent 22. Which of the following series is convergent? (A) 2 (B) (C) 2 1 (D) 23. Which of the following series is divergent? n-1 (A) (C) 1=1 (n + 2) (n + 3) 1-1 (B) (D) 2 3#-1 24. Which of the following is convergent? (A) (B) (C) (D) 25. Determine if the series > sin nu is convergent or divergent. (A) divergent (B) convergent 26. Determine if the series (1 + !)" is convergent or divergent. (A) divergent (B) convergent Page 4 of 512:25 39 X CAL 2 FINAL EX... V Page 2 of 5 8 3 of 5 MATHI TUI VALUULUS 4 FINAL EXAM 12. Using trigonometric substitution to determine Vin' r + 4 do, we can use the substitution, Inr = 2tan 0. Which of the following is equivalent to / Vin's + 4 (A) secr tana + In [ seer + tana] + C (C) 2(In [seco + tan #| + In [csco - cot #)) + C (B) tane + C (D) 2(see In jesc# - cot #)) + C 13, Evaluate (A) 2 29 290 (D) 290 (C) 2 14. Which of the following is an improper integral? (A ) (r+ 1)2/3 da (x + 1)2/3 15. Evaluate d tseet at . (A) 2x2 secr (B) -2r'rsecr (C) 2r secr (D) -2x seer 16. Which of the following is true about the sequence 5, -25, 125, -625, ...? (A) The sequence is convergent with limit -1. (C) The sequence is convergent with limit 1. (B) The sequence is convergent with limit 0. (D) The sequence is divergent. 17. Which of the following is true about the sequence (2" - },? (A) The given sequence is decreasing. (C) The given sequence is increasing. (B) The given sequence is strictly decreasing. (D) The given sequence is strictly increasing. 18. Which of the following is true about the sequence , 10" (A) The given sequence is decreasing. (C) The given sequence is increasing. (B) The given sequence is strictly decreasing. (D) The given sequence is strictly increasing. Page 3 of 5Topics: Basic Integration Formulas, Integration by Substitution, Integration Techniques, Sequences, Infinite Series, Tests for Convergence, Power Series A. Multiple Choice. Choose the letter that corresponds to your answer. In a particular item, if the correct answer is not among the choices or there are more than one of the choices that correctly answer that question, choose E. In some items (with blanks), you will have to provide the values(s), word(s) or expression (s) that will make the given statement true. The +C in the given or choices refers to an arbitrary constant. Input your answers in the MS Form provided.Gol 12 03 using trigonometric Substitution In 2 = atand 2 tan this Simplifi & integraty to : 2 lives Inz = 2 tant 2 .. 2 In Sect + In tant + (. = In / Sec 6 . option ( is Correct. Soll ? " 13 doc ( x -1 ) 1 5 a = x - 1, the du - doc furth Solves option ( is CorrectSally since if we See all the optim clearl we will notice only option A is improves as it is lower limit = 0 So option f is Current Salis 2 By the fundamental theorem of d x da + sect at = 1 See x Da option C Sol 16 - 0. Sequence is s / - s) , & its Sign grows Capinentially. a aption D . Sol17 : 7 2" grows pasta than n So the Sequel is increase . . option C . Sof 18 - J Since 10" Grapes faster than 2" ! . Sequence I decream 1 . aptican Bsol19 : the Sequence grows without bound so it diverges . . 9 option D S( 20 - 7 1 - 21 grows exponentially negative making the Sequence diverge! so option P. 5121 : 7 Say large n n2 behaves like I , so an ! it Converge by the Comparison fat . option B 51 22 1 optia A' is divergent & Bis too diverged C is diverge by harmonic scriv See . optin. D.. it is Convergent by ?-Series ted where pol . 0 .0 option D s1 23 2 7 So, Optic A , B & d are Convert meanwhile optin c is diverged by ratio option c is torrent.Solay: t aptian A& C are divergent by Peer & aptin B is convergit by P - Series tol 32 option B. Sin N TT = 0 En-, 020 0 the Serzy Sums to Zero ? it is Converget 0 option B an = ( ( t / n - 1 8 an approche e . ance it is not Zero as it is divergent ire optiand
Step by Step Solution
There are 3 Steps involved in it
Get step-by-step solutions from verified subject matter experts
