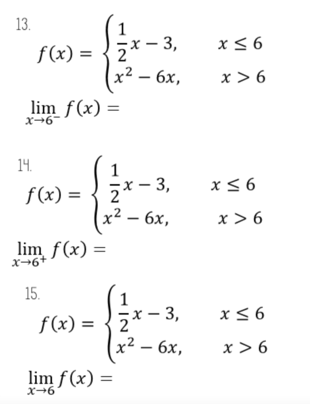
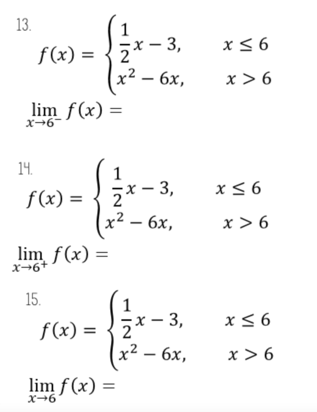
Question: 13. f (x ) = - x - 3, x 5 6 2 x2 - 6x, x > 6 lim f (x) = X-6 14.


13. f (x ) = - x - 3, x 5 6 2 x2 - 6x, x > 6 lim f (x) = X-6 14. f ( x ) = x - 3, x56 x2 - 6x, x > 6 lim f (x) = x-6+ 15. f(x) = x - 3, x 56 2 x2 - 6x, x > 6 lim f (x) = X-6
Step by Step Solution
There are 3 Steps involved in it
Get step-by-step solutions from verified subject matter experts
