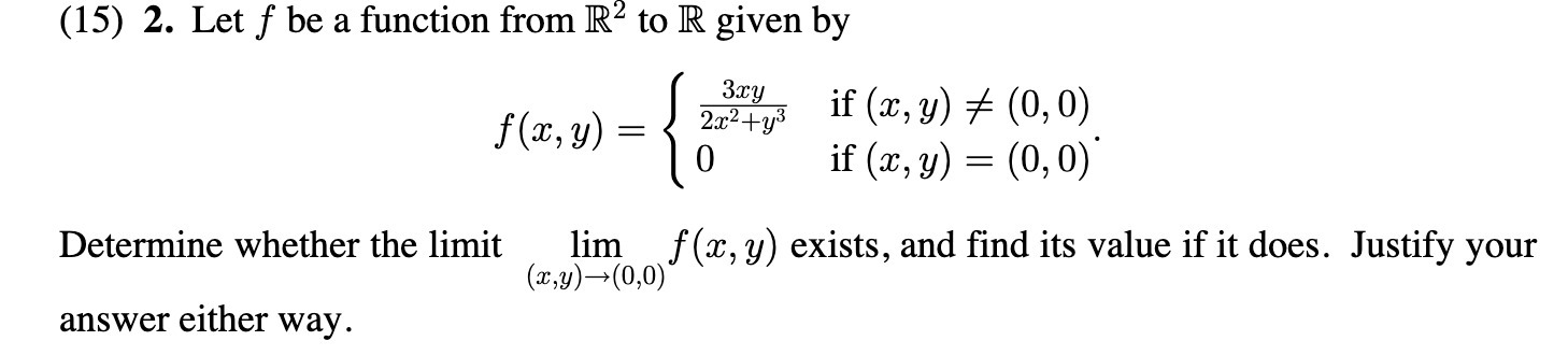
Question: (15) 2. Let f be a function from R2 to R given by 3xy f (x, y) = 2x2 +y3 if (x, y) + (0,0)

Step by Step Solution
There are 3 Steps involved in it
1 Expert Approved Answer
Step: 1 Unlock
Question Has Been Solved by an Expert!
Get step-by-step solutions from verified subject matter experts
Step: 2 Unlock
Step: 3 Unlock
