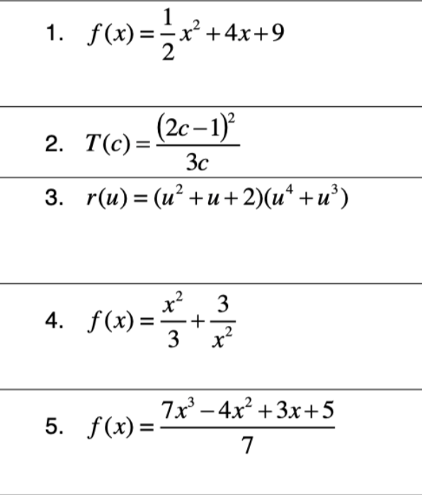
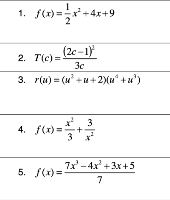
Question: 1-5 SOLVE THE FOLLOWING DERIVATES USING POWER RULE 1. f(x) =-x+4x+9 2. T(c) = (2c-1) 3c 3. r(u) = (u2 + u+ 2)(u+ + u3)

1-5 SOLVE THE FOLLOWING DERIVATES USING POWER RULE

1. f(x) =-x+4x+9 2. T(c) = (2c-1) 3c 3. r(u) = (u2 + u+ 2)(u+ + u3) 4. f (x) = + W 3 7x3 - 4x2 +3x+5 5. f(x) =- 7
Step by Step Solution
There are 3 Steps involved in it
1 Expert Approved Answer
Step: 1 Unlock
Question Has Been Solved by an Expert!
Get step-by-step solutions from verified subject matter experts
Step: 2 Unlock
Step: 3 Unlock
