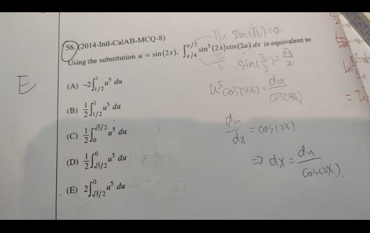
Question: ( 2 0 1 4 - Intl - CalAB - MCQ - 8 ) Using the substitution u = s i n ( 2 x
IntlCalABMCQ
Using the substitution is equivalent to A
B
C
D
E
Step by Step Solution
There are 3 Steps involved in it
1 Expert Approved Answer
Step: 1 Unlock
Question Has Been Solved by an Expert!
Get step-by-step solutions from verified subject matter experts
Step: 2 Unlock
Step: 3 Unlock
