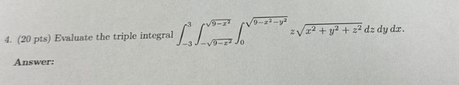
Question: ( 2 0 p t s ) Evaluate the triple integral - 3 3 - 9 - x 2 2 9 - x 2 2
Evaluate the triple integral
Answer:
Step by Step Solution
There are 3 Steps involved in it
1 Expert Approved Answer
Step: 1 Unlock
Question Has Been Solved by an Expert!
Get step-by-step solutions from verified subject matter experts
Step: 2 Unlock
Step: 3 Unlock
