Question: course 1 week 5 If writing process is bothering you, it's ok to write only correct answer in each question. 1. Evaluate (1+ 2x2)2 O

course 1 week 5
If writing process is bothering you,
it's ok to write only correct answer in each question.

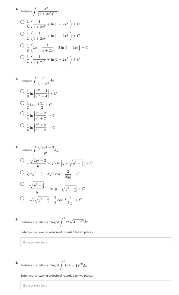
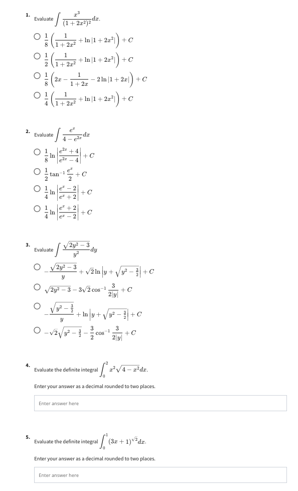
1. Evaluate (1+ 2x2)2 O 1 1 + 2 7 + In |1 + 2x3 ) + 0 O 1 1 + gri + In |1 + 2x31 ) + C O 2x - 7 1 + 2x - - 2In |1+ 2x] ) + 0 O 1 + 2pi + In |1 + 2x3 ) + 0 * Evaluate 4- ear O 23z + 4 In - 4 O tan-1 +C One - 2 4 ex + 2 + C O 4 In ex + 2 ex - 2 + 0 3. 2y2 - 3 Evaluate -dy O V2y2 - 3 '+v2my + vy -+0 y O v/2y2 -3 -3V/2 cos-1. 1 3 + 0 2 y| O Vyz - +hny + Vyz - +c y O -V21/43 - 1 Cos 1 3 4. Evaluate the definite integral / x3\\ 4 -x2dx. Enter your answer as a decimal rounded to two places. Enter answer here 5. 1 ( 32 + 1) V2 do . Enter your answer as a decimal rounded to two places. Enter answer here
Step by Step Solution
There are 3 Steps involved in it
Get step-by-step solutions from verified subject matter experts
