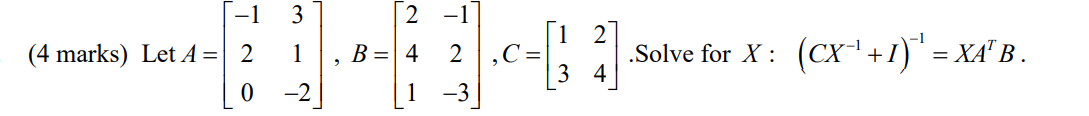
Question: 2 -1 2 (4 marks) Let A = 2 , B = 4 2 ,C= Solve for X: (CX-' + 1) = XATB. 3 0

2 -1 2 (4 marks) Let A = 2 , B = 4 2 ,C= Solve for X: (CX-' + 1) = XATB. 3 0 -2 -3
Step by Step Solution
There are 3 Steps involved in it
1 Expert Approved Answer
Step: 1 Unlock
Question Has Been Solved by an Expert!
Get step-by-step solutions from verified subject matter experts
Step: 2 Unlock
Step: 3 Unlock
