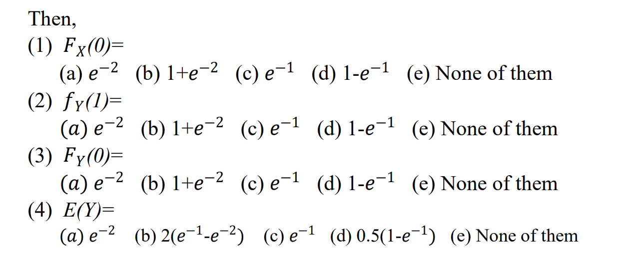
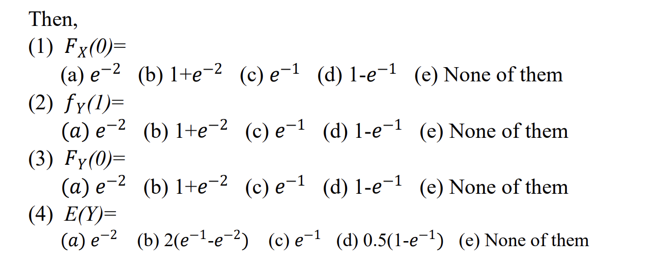
Question: 2. (10 points. Write all your steps leading to the answers. ) Suppose A is a random variable with pdf f (x) = e (*+1),




2. (10 points. Write all your steps leading to the answers. ) Suppose A is a random variable with pdf f (x) = e (*+1), u(x + 1 ). Random variable Y is defind as Y=g(X). y = g(x) fy (x) - - - - - - - - X -1 -1
Step by Step Solution
There are 3 Steps involved in it
Get step-by-step solutions from verified subject matter experts
