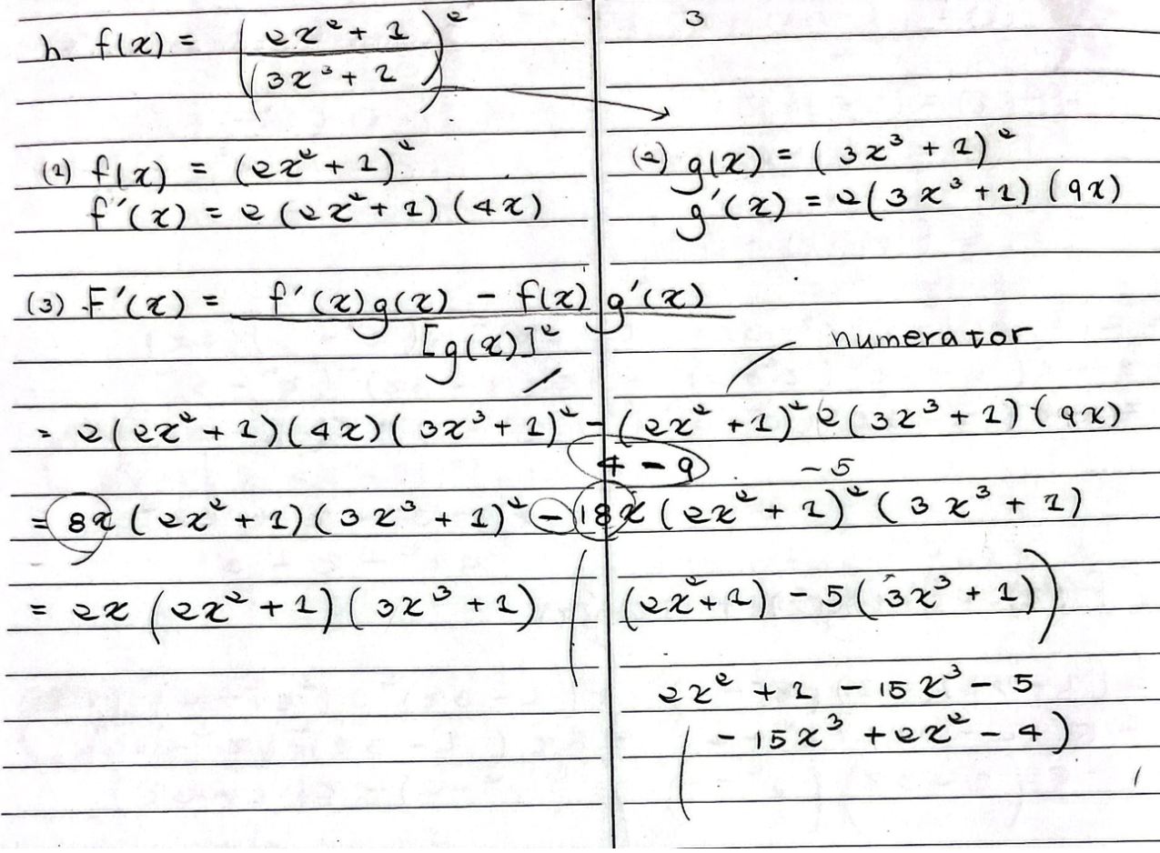
Question: 2 2x2 +1 h . f ( x = 3x' +1 (4 marks) 2 2x2+1 3x3+1 (4 marks)




2 2x2 +1 h . f ( x = 3x' +1 (4 marks)
2 2x2+1 3x3+1 (4 marks)
Step by Step Solution
There are 3 Steps involved in it
Get step-by-step solutions from verified subject matter experts
