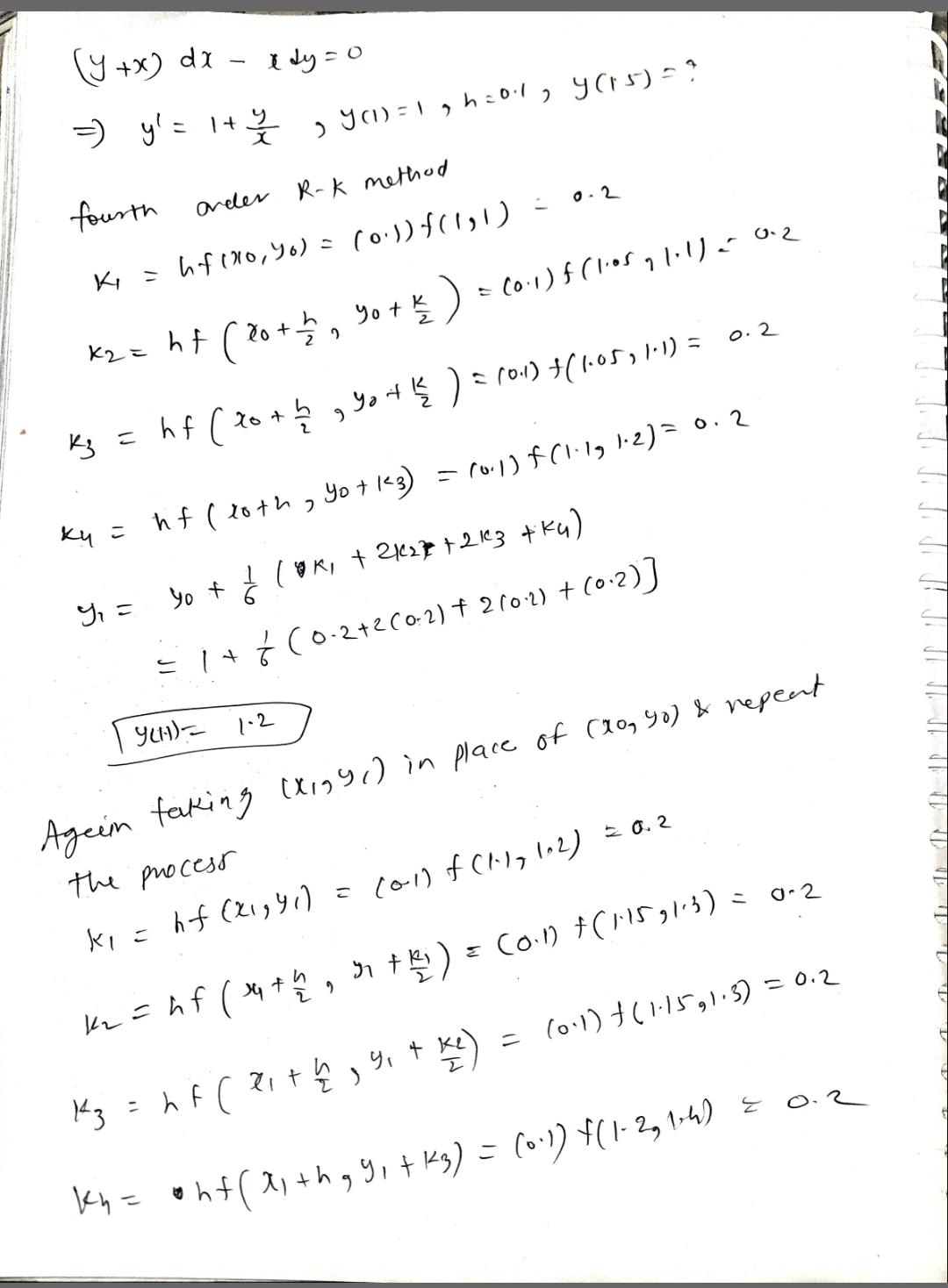
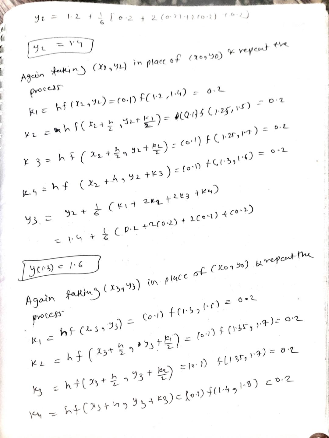
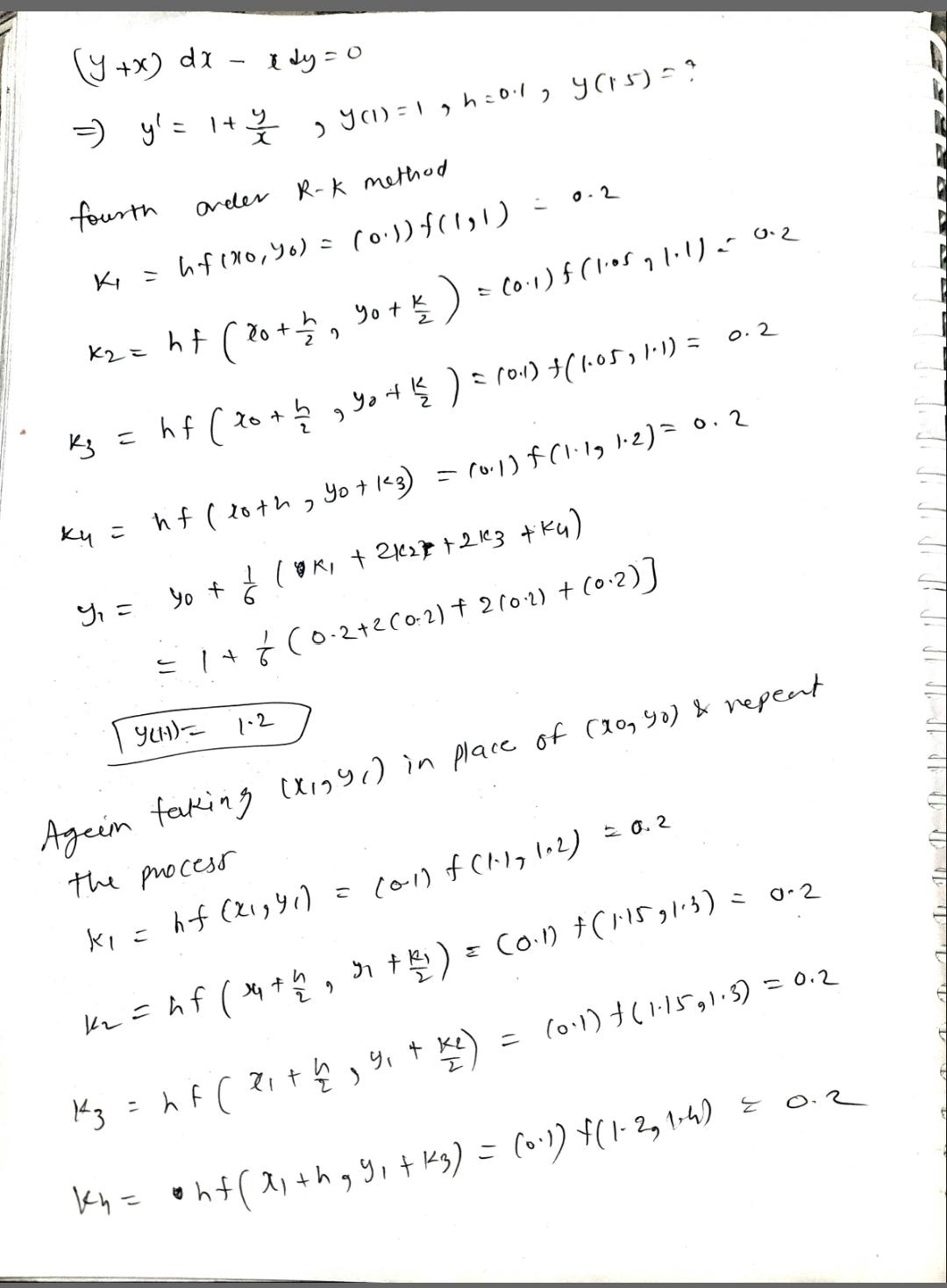
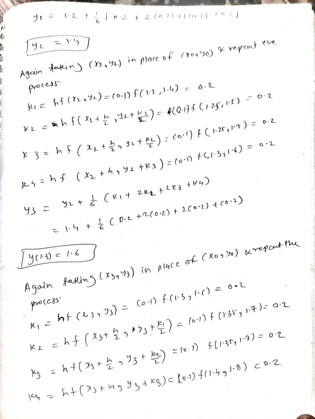
Question: fy z = 1 . 2 1 - 1 0 . 2 + 2 ( 0 . 7 1 1 1 10 . 2 )










\fy z = 1 . 2 1 - 1 0 . 2 + 2 ( 0 . 7 1 1 1 10 . 2 ) 1 0.2 ) yz = 1'9 Again takin) ( X2, 42 ) in place of (x0, go) & repeat the process KIE hf ( x 2 , y 2 ) = 10. 1 7 f ( 1 . 2 , 1 . 4 ) = 0.2 K 2 ER h f ( X 2 + h , J z + K L ) = P CQ. 17 5 ( 1 25, 1. 5 ) - 0.2 x 3 = h f ( x 2 + 5 , yz + kc ) = (o.l ) f ( 1. 25 , 1 5 ) = 0.2 k s = h f ( x z + h , y z t k 3 ) = ( 0 . 1) + ( 1 . 3 , 1 . 6 ) = 0-2 43 = yz + + ( K It 2 kq + 2 k3 + kq ) = 1. 9 + 1 ( D . 2 + 2 ( 0 . 2 ) + 2 (0-2 ) + (0.2 ) y ( 1 . 3 ) = 1 .6 Again taking ( x3,43 ) in place of ( 109 50 ) & repeat the process. k, = hf ( x 3 , y ; ) = Co .1l f ( 1 . 3 , 1 . 1 ) = 0.2 K 2 = h f ( x 3 + / , " y s + ki ) = 10. 17 f ( 1:35 , 1 7 ) - 0.2 K3 = hf ( x 3 + h , y3 + k2) = 10. 1) f ( 1: 35, 1 7 ) = 0.2 ky = ht ( "1 3 + h g y z + k 3 ) = 1 0 . 1 ) f ( 1 . 4 , 1 - 8 ) co.2\fDate: 8 8 Now form ( 2) 8 8 Using gotp we have from A B 1 = G (08 (0) + ( 2 8 in (0) using 2 (0 ) = 0 8 Q = ( 1 cos ( 0 ) + ( 2 d in ( o ) + 3 5 7 9 8 ino - ( F ) G (080 8 8 8 8 G = 3 57 ( 2 62 - 357 -357 Hence form A and B 8 Sin /3 7+ + 3 17 8in ( 3.5 ) + La y = - 357 8in
Step by Step Solution
There are 3 Steps involved in it
Get step-by-step solutions from verified subject matter experts
