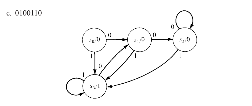
Question: #2 C EXERCISES 9.3 1. For each input sequence and machine given, compute the corresponding output sequence (starting state is always so)
#2 C


EXERCISES 9.3 1. For each input sequence and machine given, compute the corresponding output sequence (starting state is always so)
Step by Step Solution
There are 3 Steps involved in it
Get step-by-step solutions from verified subject matter experts
