Question: 2. Consider the AR(1) model x = Oxt-1 wt where wt ~ NID(0,). (a) Show that for || < 1, the auto-covariance is (h)


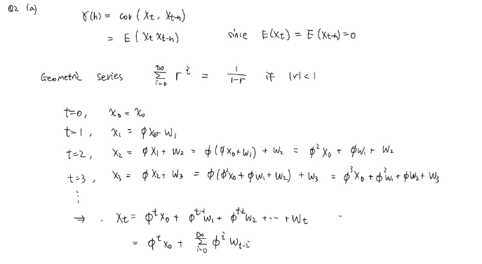
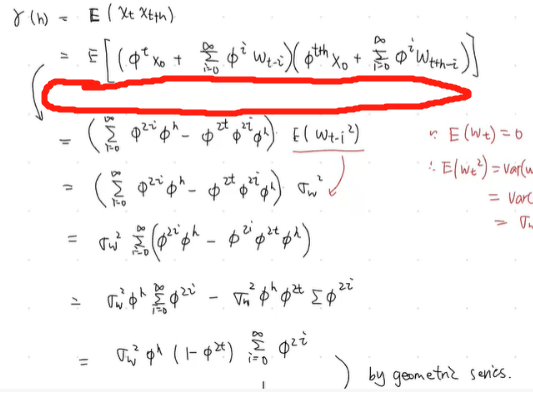
2. Consider the AR(1) model x = Oxt-1 wt where wt ~ NID(0,). (a) Show that for || < 1, the auto-covariance is (h) = 2 - 1 2 1 - 2 - Hint: consider using the geometric series Q2 (a) 8 (h) = cov (Xt, Xtn) = E (Xt Xt-n) since Elxt) = E (x++) = 0 Geometric Series r = if Ivici +=o t=1, x = Xor W, t=2, X = X + W = $ (9xo+ W) + W = Xo + W. + W +=3, X3 3 = 0x2+ W3 = 0 (0x0 + & W + W) $ + W3 = + W + W+ W3 . Xt = x + t w + $th W +-- +We = Wt-i 8 (h) = E (Xt Xtth). E tth 0 With-i) E(W+)=0 = = = ($qaron ptops) El wh1") (-) Jw 1270 - (*) - = = Var Th = Ju (1-2) by geometric series.
Step by Step Solution
There are 3 Steps involved in it
Get step-by-step solutions from verified subject matter experts
