Question: 2. Consider the equation of motion in rectangular cartesian coordinates can be expressed as following equation in z-direction. Please change this form by using substantial

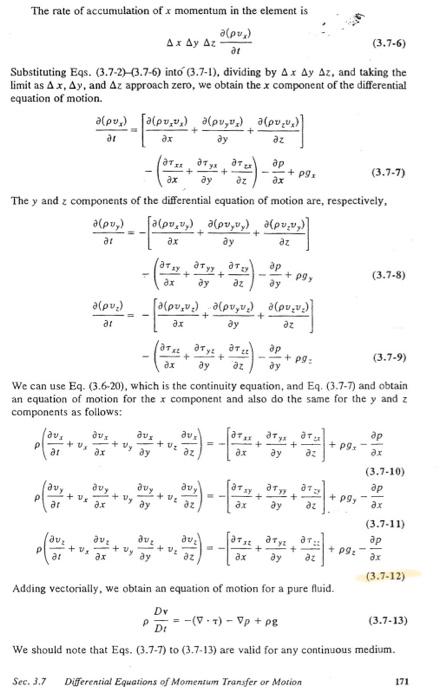
2. Consider the equation of motion in rectangular cartesian coordinates can be expressed as following equation in z-direction. Please change this form by using substantial time derivates as shown in eq. (3.7-12) (30%) O(pv.)__Lo(pv.v.), (pv,v3), 0(pv,v, 0 at Oz @x Oz cz tyz t z + + 21-4 + ZZ + Pg2 The rate of accumulation of x momentum in the element is alow) Ax Ay Az (3.7-6) at Substituting Eqs. (3.7-2)-3.7-6) into (3.7-1), dividing by 4 x Ay Az, and taking the limit as AX, Ay, and Az approach zero, we obtain the x component of the differential equation of motion alpur) az 1) ()2 (] ar ax OT ax , ay IT 2 ap dx + P9 (3.7-7) dz The y and 2 components of the differential equation of motion are, respectively. a(pun) falpuu) a(pwy Wy) (pvux) --for ar ay az are ( . + ay 2+ ap +29 (3.7-8) ax az + + ar az alpur) apuv.) (pvyv.) (pv.v.) ar ay Otit dry! OTZ! ap +29: dx (3.7-9) ay az We can use Eq. (3.6-20), which is the continuity equation, and Eq. (3.7-7) and obtain an equation of motion for the x component and also do the same for the y and z components as follows: + + dus au ass atys 555 au P ar + aux ax y ay Utaz +29: ar ay a: ap ax (3.7-10) ax avy avy avy duy TY ary Vsas +32 y ay + ar + P9y ax ay az av: av: aux au Tot : T:: P us as Vy ay V: at + +29: (3.7-11) ap ax (3.7-12) ar ax ay az Adding vectorially, we obtain an equation of motion for a pure fluid. Dv =-(.1) - Vp + Pg PDI (3.7-13) We should note that Eqs. (3.7-7) to (3.7-13) are valid for any continuous medium. Sec. 3.7 Differential Equations of Momentum Transfer or Morion 171
Step by Step Solution
There are 3 Steps involved in it
Get step-by-step solutions from verified subject matter experts
