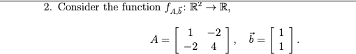
Question: 2. Consider the function fAG: R? R, A= 1 -2 *], = [1] (c) Compute the first 3 steps 1, z, az of gradient descent,
![2. Consider the function fAG: R? R, A= 1 -2 *],](https://dsd5zvtm8ll6.cloudfront.net/si.experts.images/questions/2024/09/66fa3721be77b_14566fa37216ec44.jpg)
![= [1] (c) Compute the first 3 steps 1, z, az of](https://dsd5zvtm8ll6.cloudfront.net/si.experts.images/questions/2024/09/66fa3722563af_14566fa3721eba5e.jpg)
2. Consider the function fAG: R? R, A= 1 -2 *], = [1] (c) Compute the first 3 steps 1, z, az of gradient descent, with o = (-10, 4) and n = 0.1. What will happen if we run the algorithm longer? (d) The function f 4 (for the specific values of A and 6 given above) is not strictly convex. Explain how we know this. Hint: use a theorem. (e) In general, what property of the matrix A determines whether fa is strictly convex? You don't need to prove your answer. 2. Consider the function fAG: R? R, A= 1 -2 *], = [1] (c) Compute the first 3 steps 1, z, az of gradient descent, with o = (-10, 4) and n = 0.1. What will happen if we run the algorithm longer? (d) The function f 4 (for the specific values of A and 6 given above) is not strictly convex. Explain how we know this. Hint: use a theorem. (e) In general, what property of the matrix A determines whether fa is strictly convex? You don't need to prove your
Step by Step Solution
There are 3 Steps involved in it
Get step-by-step solutions from verified subject matter experts
