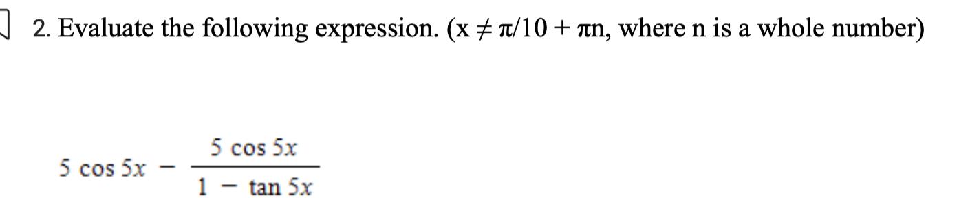
Question: 2 Evaluate the following expression x 7 10 n where n is a whole number 5 cos 5x 5 cos 5x 1 tan 5x


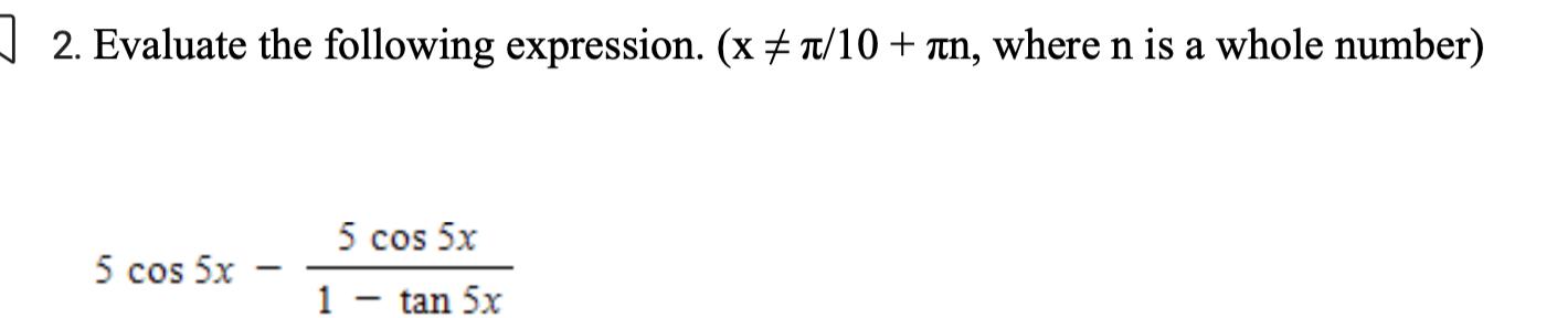
2 Evaluate the following expression x 7 10 n where n is a whole number 5 cos 5x 5 cos 5x 1 tan 5x
Step by Step Solution
There are 3 Steps involved in it
Get step-by-step solutions from verified subject matter experts
