Question: 2. Let p E R. Consider the series sin (kx) KP k=1 (a) Prove that the series converges absolutely uniformly on R for p >


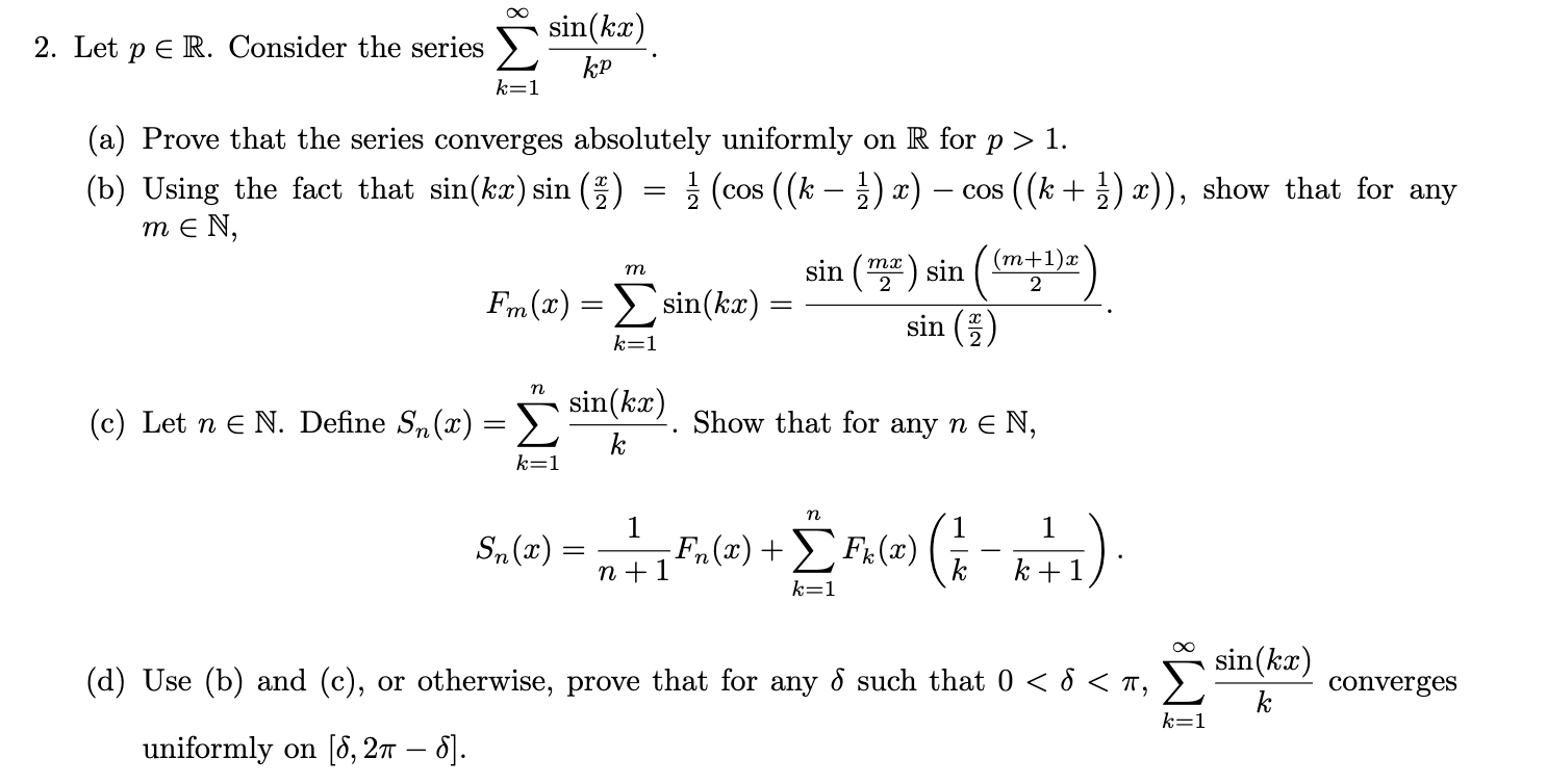
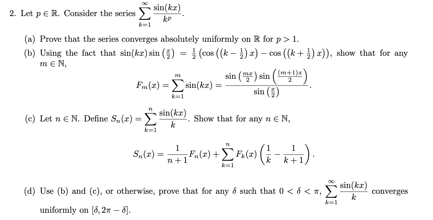
2. Let p E R. Consider the series sin (kx) KP k=1 (a) Prove that the series converges absolutely uniformly on R for p > 1. (b) Using the fact that sin(kx) sin (?) = 2 (cos ((k - ?) x) - cos ((k + ? ) x) ), show that for any MEN, m sin (mx sin (m+1)x Fm(a) = > 2 sin (kx) = sin 1018 k=1 n (c) Let n E N. Define Sn(2) => sin(kx) Show that for any n E N, k k=1 n H 1 Sn(20) = n+1 Fn (20 ) + EFk (20 )( K k+1 k=1 (d) Use (b) and (c), or otherwise, prove that for any o such that 0
Step by Step Solution
There are 3 Steps involved in it
Get step-by-step solutions from verified subject matter experts
