Question: (2 points) take a look at number 5. Using 95% confidence level, estimate the interval of predicted Free Cash Flow at the 16 th year

(2 points) take a look at number 5. Using 95% confidence level, estimate the interval of predicted Free Cash Flow at the 16th year and interpret the result.
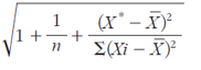
If you want to manually calculate the prediction interval, be sure to use the following formula:
Prediction interval = point estimate predictive errors
Predictive errors = t value x residual standard errors x
If you want to make your life easier, be sure to use the Excel function:
Prediction interval = point estimate predictive errors
FORECAST.LINEAR() for point estimate
FORECAST.ETS.CONFINT() for predictive errors
Default is 95% confidence level
The following table is the result from regression analysis of the relationship between time passage and cash flow from operating activities. As x variable is time, the analysis is also referred to as time-series analysis. SUMMARY OUTPUT 1+n1+(XiX)2(XX)2
Step by Step Solution
There are 3 Steps involved in it
Get step-by-step solutions from verified subject matter experts
