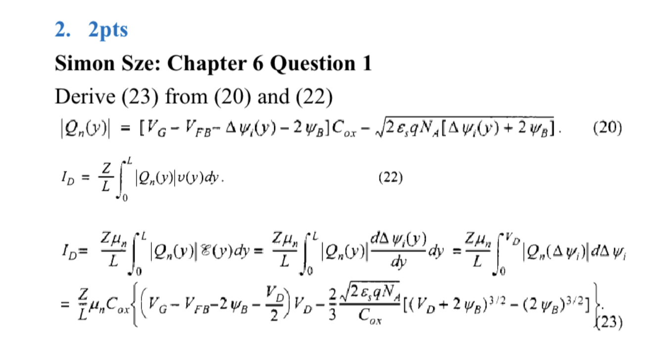
Question: 2 pts Simon Sze: Chapter 6 Question 1 Derive ( 2 3 ) from ( 2 0 ) and ( 2 2 ) | Q
pts
Simon Sze: Chapter Question
Derive from and
Step by Step Solution
There are 3 Steps involved in it
1 Expert Approved Answer
Step: 1 Unlock
Question Has Been Solved by an Expert!
Get step-by-step solutions from verified subject matter experts
Step: 2 Unlock
Step: 3 Unlock
