Question: 2. Reference the figure of a rectangular plate with forces applied at corners A and C. y 1 151bl a) (10 points) Determine the



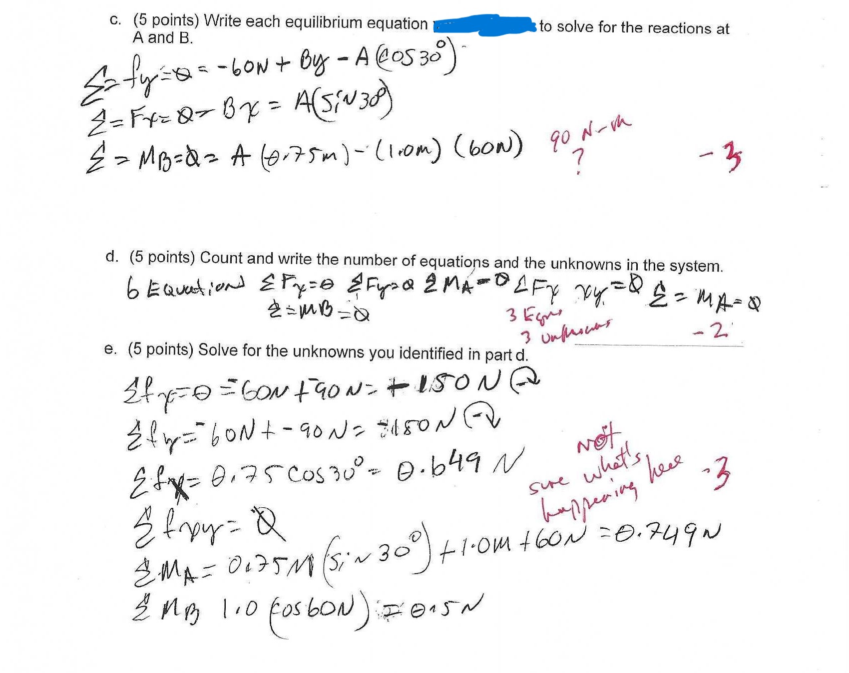
2. Reference the figure of a rectangular plate with forces applied at corners A and C. y 1 151bl a) (10 points) Determine the magnitude and the direction of the moment due to the applied force couple. (Hint: Consider breaking the forces up into their components.) M= ~(Frx') (3 Ft) + (Fy) (10FT) M= -15 LB (si~ 60 14 15 LB (COS 60) [M= -13.858 Gy] FX 151B A B 3ft 60 -x 15 lb -10ft AxF-Pos TBFT SOFT F 7520 -3 3. Three vertical forces are applied as shown to the horizontal beam. 210N A B C 500N 600N KO.15m*0.15m*0.15m a. (10 points) Replace the three loads by an equivalent force couple system at point A. (Remember magnitude and direction.) AB = BC=CD = 0.45m F= 1310NX 70.15 0,45 70.225 2 (500N) (0.225) + (600) (055) + (210) (0,45), 112.5 + 135 + 94.5=342N 10.3 6=347N 242=13100 242 ~/0.18 mp 1310 2100 B SOON 6000 >0.45 - 4 c. (5 points) Write each equilibrium equation A and B. -60N + By - A (@05 30). {=fy = = + - A 2 = Fx=Q=Bx = A(SiN300) to solve for the reactions at = MB=Q=A (0.75m)-(1.0m) (60N) 90 N-m ? -3 d. (5 points) Count and write the number of equations and the unknowns in the system. 6 Equation & Py=0 & Fysa 2 MA-OLFY xy=QE = MA=Q 4. The system shown consists of a bent bar supported with a roller at A and a pin at B. A 60-N force is applied at C and a 90 Nm moment is applied at D as shown. A 30 1.0m *-0.5ml C K 0.75m B 90 Nm 60N b. (12 points) Draw the free-body diagram needed to solve for the reactions at A and B. FBD 0.75m. 1.0M 0.5m 2 B 60N
Step by Step Solution
There are 3 Steps involved in it
Get step-by-step solutions from verified subject matter experts
