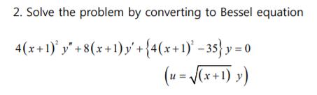
Question: 2. Solve the problem by converting to Bessel equation 4(x+1) y +8(x +1) y' +{4(x+1) 35} y = (u- Vir+1) )
2. Solve the problem by converting to Bessel equation 4(x+1) y" +8(x +1) y' +{4(x+1) 35} y = (u- Vir+1) )
Step by Step Solution
3.45 Rating (158 Votes )
There are 3 Steps involved in it
To solve this problem by converting it to a Bessel equation we need to perform a substitution Lets g... View full answer
Get step-by-step solutions from verified subject matter experts
